学习动漫游戏专业的学生需要对电脑有一定的基础吗?学习动漫游戏专业需要有一定的计算机基础,而且基础不低,需要熟练掌握各种软件,动漫设计分为:2D动漫软件,3D动漫软件和网页动漫软
C++如何实现C53最简单方法
排列组合C(5,3)怎么计算写在纸上一步一步写把公式写出来。还有排列组合的A和C和P是怎么回事呢
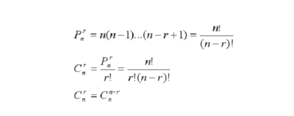
等于5×4×3(一共乘了三个数,等于上边数字的数量),然后再除以3×2×1(上边数的阶乘)。
P是排列,跟顺序有关,C是组合跟顺序无关,所以还要除以可能出现的重复次数。
拓展资料:
1、排列的定义:从n个不同元素中,任取m(m≤n,m与n均为自然数,下同)个元素按照一定的顺序排成一列,叫做从n个不同元素中取出m个元素的一个排列;从n个不同元素中取出m(m≤n)个元素的所有排列的个数,叫做从n个不同元素中取出m个元素的排列数,用符号 A(n,m)表示。

此外规定0!=1(n!表示n(n-1)(n-2)...1,也就是6!=6x5x4x3x2x1
2、组合的定义:从n个不同元素中,任取m(m≤n)个元素并成一组,叫做从n个不同元素中取出m个元素的一个组合;从n个不同元素中取出m(m≤n)个元素的所有组合的个数,叫做从n个不同元素中取出m个元素的组合数。用符号 C(n,m) 表示。
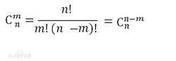
计算公式:;C(n,m)=C(n,n-m)。(n≥m)
排列组合中c53是怎么算的,5在下,3在上
C(5,3)=C(5,2)=5*4/2*1=20/2=10
1、从n个不同元素中,任取m(m≤n)个元素并成一组,叫做从n个不同元素中取出m个元素的一个组合;从n个不同元素中取出m(m≤n)个元素的所有组合的个数,叫做从n个不同元素中取出m个元素的组合数。
2、在线性写法中被写作C(n,m)。组合数的计算公式为

3、组合是数学的重要概念之一。从 n 个不同元素中每次取出 m 个不同元素,不管其顺序合成一组,称为从 n 个元素中不重复地选取 m 个元素的一个组合。所有这样的组合的种数称为组合数。

扩展资料
组合数性质
1、互补性质

即从m个不同元素中取出n个元素的组合数=从m个不同元素中取出 (m-n) 个元素的组合数;
这个性质很容易理解,例如C(9,2)=C(9,7),即从9个元素里选择2个元素的方法与从9个元素里选择7个元素的方法是相等的。
规定:C(n,0)=1 C(n,n)=1 C(0,0)=1
参考资料
c的排列组合计算公式是什么?
排列组合c的公式:C(n,m)=A(n,m)/m!=n!/m!(n-m)!与C(n,m)=C(n,n-m)。(n为下标,m为上标)。例如C(4,2)=4!/(2!*2!)=4*3/(2*1)=6,C(5,2)=C(5,3)。
排列组合c计算方法:C是从几个中选取出来,不排列,只组合。
C(n,m)=n*(n-1)*...*(n-m+1)/m!
例如c53=5*4*3÷(3*2*1)=10,再如C(4,2)=(4x3)/(2x1)=6。

注意:
排列组合是组合学最基本的概念。所谓排列,就是指从给定个数的元素中取出指定个数的元素进行排序。组合则是指从给定个数的元素中仅仅取出指定个数的元素,不考虑排序。
排列组合的中心问题是研究给定要求的排列和组合可能出现的情况总数。 排列组合与古典概率论关系密切。
排列组合C几几怎么算的?
如下:
排列组合c的公式:C(n,m)=A(n,m)/m!=n!/m!(n-m)!与C(n,m)=C(n,n-m)。(n为下标,m为上标)。例如C(4,2)=4!/(2!*2!)=4*3/(2*1)=6,C(5,2)=C(5,3)。
排列组合c计算方法:C是从几个中选取出来,不排列,只组合。
C(n,m)=n*(n-1)*...*(n-m+1)/m!
例如c53=5*4*3÷(3*2*1)=10,再如C(4,2)=(4x3)/(2x1)=6。

注意事项:
1、不同的元素分给不同的组,如果有出现人数相同的这样的组,并且该组没有名称,则需要除序,有几个相同的就除以几的阶乘,如果分的组有名称,则不需要除序。
2、隔板法就是在n个元间的n-1个空中插入若干个隔板,可以把n个元素分成(n+1)组的方法,应用隔板法必须满足这n个元素必须互不相异,所分成的每一组至少分得一个元素,分成的组彼此相异。
排列组合的那个C几几 怎么算 有什么快速的算法吗?
就是下面的数从自己开始向下乘,一共乘以上边数字的数量,然后再除以上边数字的阶乘。比如C53,下边是5,上边是3,就等于5×4×3(一共乘了三个数,等于上边数字的数量),然后再除以3×2×1(上边数的阶乘)。很简单相关文章
- 详细阅读
-
软件专业主要学习什么?详细阅读
软件技术主要学什么?软件技术主要学习以下内容:1、编程语言课程(包括Microsoft公司Windows平台开发技术和SUN公司(已被甲骨文收购)的Java开发技术)2、支撑课程(如数据库技术、网
-
学习电脑技术大概要多少费用啊?详细阅读
想报一个电脑培训班要多少钱?电脑培训从3000元—30000元不等,电脑培训班要多少钱与培训课程专业和学员自身有关,主要是专业和时间。具体分析如下: 1、初级电脑培训班:初级电脑培
-
请问我在大塔儿巷老年大学电脑学习详细阅读
在培训班交了学费没有去学习,可以要求退吗?如果被拒绝怎么办正规培训学校是可以在规定时间内可退,过了视情况可以协商,能退不退可到当地劳动和社会保障局投诉。 深圳正规职业技
-
进群学习被关小黑屋了,请帮我解决一详细阅读
我被关了小黑屋,怎么办我建议你给盛大客服打个电话 不用找GM 客服就管这个事 盛大官方就有客服电话 我也遇到你说的类似的问题 就是打客服的 很管用的 客服很负责的 装备丢了
- 详细阅读
-
有没有可以查学习资料的软件,性价比详细阅读
好用的学习软件有哪些推荐几个我个人认为对学习很有帮助的app,希望对你们有一些参考价值哦。藏书馆顾名思义,藏书馆就是一个在线图书馆,目前这个App上面共有50多万本书籍可供免
-
怎样恳求医院主任给个学习机会详细阅读
医药代表怎么拜访科室主任?医药代表怎么拜访科室主任?等主任办公室没人不忙的时候,或者在早上刚上班的时候去拜访,准能见到。首次就是打个招呼,介绍一下自己和所负责的产品,对方热
- 详细阅读
-
5 G开发学习需要基础吗?详细阅读
5 G开发学习需要基础吗?当然需要了,所有的学习都需要基础,如果你没有基础你还怎么学习,这些重要的观点你还是要好好考虑一下。5 G开发学习需要基础吗?5g网络的开发学习当然是需要
