matlab提示错误:此上下文中不允许函数定义.用法上出现错误导致的报错。解决方法和操作步骤如下:1、首选,打开编译器,然后在命令行中键入edit打开,如下图所示。2、其次,完成上述步
如何用matlab画出如下图形,按照下面规律变化问问究竟可不可以,不一定要帮我画
怎样用matlab画函数图
matlab的数据处理能力很强大,这款软件还能绘制各种函数图形。下面我将介绍用matlab画函数图形的方法,以在同一张图上画出y1=sin(x)和y2=sin^2(x)的图形为例。

工具/原料
matlab
1方法/步骤
输入自变量:
画已知的函数图形,用向量的方式表示自变量比较方便。代码为
x=linspace(0,8); % 用向量形式创建x。

2输入因变量表达式:
y1=sin(x); % 向量y1的值为x坐标上某一x的s i n ( 2 x )值。
y2=(sin(x)).^2 ; % 向量y2的值为( s i n ( x ) ) .^2,注意别忘记一点”.“

3使用plot命令画图:
plot(x,y1)

4按回车,则画出y1=sin(x)的图形。
如果这时直接继续画y2=sin^2(x)的图形,则在另一张图中画,为了在同一张图中画两个函数图,输入下面代码:

hold on
5再输入绘图命令:
plot(x,y2)
按回车,则在同一张图上画出了这两个函数的图形。可以通过菜单栏中的insert添加坐标名称,文本等。
其他函数的画法类似!

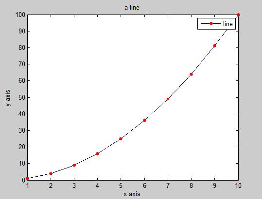
用Matlab怎样画出下面的图形,就是一条线上隔一段有一个点或者其他标识,并且可以使用legend,怎样用?
figure( 1 );
x = 1 : 10;
y = x.^2;
h = plot( x, y, '.-',...% -表示直线,.表示每个折点同时画点
'Color', [ 0, 0, 0.5 ],... % 线条颜色
'MarkerSize', 15,...% 点大小
'MarkerEdgeColor', [ 1, 0, 0 ] );% 点颜色
xlabel( 'x axis' );
ylabel( 'y axis' );
title( 'a line' );
legend( 'line' );

MATLAB中如何画出这样的图啊,重点是下面的坐标表示不同的两个分量,求大神指导
能带图啊 要将ky的横坐标取相反数,然后倒序,放到kx的前边和kx合拼为一个数组 将ky方向数据倒序放到ky数据的前面,合并为一个数组 使用新的横坐标数组和数据数组画图请教下各位大神:在matlab中要是知道了立体图形各点的数据,如何画出该立体图啊?
先用拟合工具箱把函数拟合出来, x=meshgrid(这里面是x的范围),y=meshgrid(), 然后z=拟合出来的函数关系, 用mesh或者surf 画图 或者不拟合,插值后用mesh或者surf 绘图求公式!matlab画图,在图中画出几条线,不同颜色。带注释之类。
如下参考:
1.首先打开matlab,点击回车:
X1=0:0.1:10;
Y1等于sin(x1)
X2=0:0.1:10;
Y2等于cos(x2)
然后作图(x1,y1,x2,y2)

2.如下图所示。此时,通过注释不知道度数,只有两条曲线。

3.此时,legend函数可以被传递回通道以添加注释。格式如下:
传奇('sin','cos');
分别添加评论。

4.输入后的应答效果如下图所示。您可以看到在右上角添加了一个带有注释的文本框。

5.然后,legend函数还可以选择注释出现的位置,并通过添加location参数来实现它。点击输入:legend('sin(x)','cos(x)','location','northwest')。

相关文章
- 详细阅读
-
CAD2016在标注横向尺寸时,由于位置详细阅读
CAD怎么调整角度标注时文字的左右放置位置?你说的这个问题试了一下,达不到你的要求。角度标注和弧长标注,当文字过大在尺寸界线之间放不下的时候,系统默认移出文字是在尺寸界线
-
3dsmax的三维图形交互技术有哪些详细阅读
3dsmax可以做哪些建模?常见的三维建模软件有哪些1、3DS Max美国Autodesk公司的3D Studio Max(前身是Discreet公司的,后被Autodesk收购)是基于PC系
统的三维建模、动画、渲染的 -
matlab实现按钮功能详细阅读
如何能使MATLAB GUI中的按钮起作用需要在按钮上点右键,然后CallBack,然后编写他的程序。 例如,你的GUI上有一个可编辑的输入框edit1,一个button,那么你可以编写button的Callback
-
matlab电力系统暂态仿真,电力系统工详细阅读
matlab中的电力系统工具包跟PSAT都是什么,怎么用的用过psat做暂态分析,里面test文件夹下有ieee标准算例的.m数据文件,也有用simulink搭建的mdl模块文件。psat的好处是里面有常
-
index有多个怎么用matplotlib画图详细阅读
初学python,matplotlib库画图不显示求助最近在看《Python数据分析》这本书,而自己写代码一直用的是Pycharm,在练习的时候就碰到了plot()绘图不能显示出来的问题。网上翻了一下
-
matlab求解一元n次方程系数详细阅读
matlab怎么求一元多次方程用matlab求一元多次方程的s值,其中已知Eeq,Req,Xeq,KH是4×1的列向量。可以用for循环语句和vpasolve函数来求解,其实现方法: Eeq=[?;?;?;?] Req=[?;?;?;?
-
MATLAB非线性优化求最小值时,有一个详细阅读
MATLAB作非线性优化求最小值时,有一个含有优化变量的积分如何处理对于含有优化变量的积分问题,我的建议如能直接积分得到结果,可以直接在表达式上改变量,这样可以少浪费时间把问
-
Matlab App designer中如何使用col详细阅读
matlab colourmap怎么用先用imshow或者image把图片显示出来,再用colormap设置图像的颜色;常用的配色有jet、hot、gray等等。用法:colormapxxxmatlab 如何指定颜色变化colormap
-
为什么鲁班钢筋软件 CAD导图导入后详细阅读
Cad图导入鲁班钢筋软件无图怎么办?这个问题有可能是以下方面的原因:1.图纸需要在天正打开,导出T3格式,再行导入软件 2.图纸需要先炸开再导入 3.图纸是高版本转低版本,打开失败 4.
