如何解决机器学习中数据不平衡问题首先,数据集不平衡会造成怎样的问题呢。一般的学习器都有下面的两个假设:一个是使得学习器的准确率最高,另外一个是学习器应该用在与训练集有
这张图片的问题该怎么解答?
图片中的问题怎么解答?
呃......教学内容】 P29 例3,P30练习六1—3题 【教学目标】 1、使学生初步学会解答“把一个数平均分成几份,求每份是多少”和“把一个数按照每几个一份来分,看能分成几份”的除法应用题,理解它们之间的数量关系,会写单位名称。 2、通过丰富的学习活动,使学会用除法解决实际问题。 3、感知生活与数学的紧密联系,激发学生对数学的兴趣,逐步发展学生的数学思维能力与创新意识。 4、使学生逐步养成爱动脑分析、解决问题的习惯。 【教学重点】正确区分并理解应用两种平均分类型的除法问题。 【教学难点】理解题意和数量关系,并能解决问题 【教学过程】 一、谈话导入: 师:同学们在课间喜欢玩一些什么游戏?同图片上的题怎么解?
解答过程。三个带帽子的猪加起来等于21,也就是说一个戴帽子的猪等于7。 猪开车+戴帽子的猪等于19,两个开车的猪就是19-7=12,一个开车猪就是6. 帽子+开车猪+戴帽子猪=15,帽子等于15-7-6=2 没带帽子的猪+帽子乘无人车的答案算起来也是比较麻烦的。 要注意是两个帽子哦。 没戴帽子的猪是7-2=5 没有猪的车就是6-5=1 所以答案5+2X2X1=9你能从图中提出两个数学问题并解答吗怎么写
从图中可以提出两个数学问题: 1. 请求确定从点A到点B的距离? 答:由于点A和点B在同一直线上,因此它们之间的距离就是AB的长度。 2. 请求确定点A到直线BC的距离? 答:点A到直线BC的距离是点A到直线BC最近点C的距离,即AC的长度。请问图片中问题如何解答?
左边空白部分拼到右边空白三角形的右侧,可得出与阴影相同的三角形,说明阴影部分的面积占总面积的一半,即(50%)。 每个小正方形面积是5平方厘米,阴影的面积为: 5×3×50%=7.5(平方厘米)请问图片中第四个的问题该怎么解答?
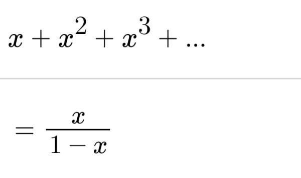
先求收敛半径

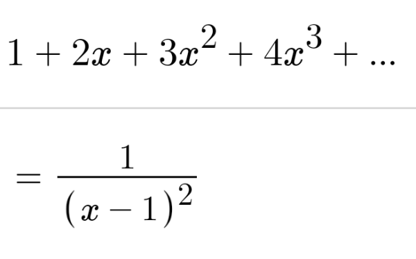
第四题的an=n,求比值的极限结果是1,所以收敛半径是1,代入x=1和x=-1,数项级数都是发散的,所以收敛域就是(-1,1),然后求和函数用逐项积分法,这样幂级数一般项是x的n次幂,原来的级数转化为类似等比级数。这个级数的和函数比较好求

对这个函数求导就得到原来的级数的和函数,是一个幂函数的平移

收敛域是x的绝对值<1
最后那个数项级数要进行变形

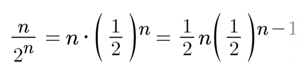
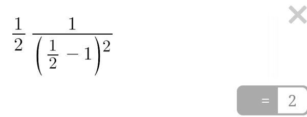
求完和函数,令x=1/2,再乘1/2就是答案。最后结果是2

相关文章
- 详细阅读
- 详细阅读
-
oc 渲染图片查看器黑屏,实时渲染是详细阅读
解决oc渲染器云渲染实时窗口可以渲染,最后渲染黑白/空白问题已成功解决,问了好多人,终于解决了。 原理是啥不清楚。 如果你用oc渲染的时候出现实时窗口没有问题,但是最终渲染出
- 详细阅读
-
各位大神。看看这张图片出至哪个AP详细阅读
请问这个聊天背景是哪个软件,应该是哪种交友软件,有知道的吗?如图我想这个聊天背景软件的话,刚刚我看了一下你的描述,我猜的没错,应该是同城交友,不知道我说的对不对,因为我研究的也
-
软件开发专业0基础可以学习吗?详细阅读
软件开发专业0基础可以学习吗?现在学习软件开发还是有一定的难度的,当然,不管你学习什么知识都会有一定的难度,主要看你有没有相关的基础,个人的学习能力如何。不过,零基础的学员
-
你好 我想让孩子学编程 有没有好详细阅读
少儿编程应该如何入门,从哪里学比较好?少儿编程入门在童程童美学比较好。童程童美少儿编程体验课,点击可免费报名试听
童程童美在线课程采用分级模式,一二年级学生学习Scratch -
图片库位置设置成了d盘无法还原详细阅读
电脑桌面位置改成d盘了改不回来?桌面改成d盘如何改回去 好像直接在D盘找到桌面,右键属性-》位置-》还原默认值就可以了,下面的操作不知道需不需要做 有很多朋友把桌面移动到了d
-
腾讯QQ更新到最新版,文件一直下载不详细阅读
我的QQ群文件下载不了,一直显示安全检查未通过,禁止下载该文件,要怎么办呐?1、首先在电脑中打开qq,点击左下角‘三’图标。2、然后在弹出来的窗口中点击设置,如下图所示。3、然后
-
如何给C4D视图背景图片旋转加上关详细阅读
c4d 如何插入关键帧1、我们打开C4D软件,进入到C4D工作窗口,点击立方体下的球体。2、这样,我们在C4D透视图中创建了一个球体,将时间滑块放在动画的其实关键帧位置。3、设置好动画
