怎么根据一个视频知道位置?拍摄的时候开启了位置信息,就可以在视频的详细信息中看到视频的拍摄位置。视频位置是指考虑到观测瞬时地球相对于天体的上述空间因素,对天体的真位
有个什么gis网站有地质灾害风险评价视频
基于GIS的滑坡灾害危险性评价
一、达曲库区地质背景
为综合评价工程区滑坡的危险性,选取达曲流域为研究对象,采用GIS技术对该区域的滑坡进行危险性评价。主要思路是通过对已查明的滑坡的统计分析建立研究区的危险性分析指标体系和信息量模型,然后运用GIS技术实现研究区的危险性分区。达曲为雅砻江的一级支流鲜水河的支流,是一期工程输水线路的起始调水河流,研究范围如图10-1所示。达曲曲折多弯,在然充乡上游的亚隆塘自西北流入库区,流至然充寺附近向南偏转为SSE向,在夺多村流出库区。库区河谷海拔一般为3580~3700m,相对高差为400~900m,属于轻微—中等切割的高山区。两岸山脊多呈浑圆状,两岸岸坡基本对称,坡度一般在20°~40°之间。区内植被发育,两岸山坡多被灌木、树木及草皮覆盖,基岩露头少。
区内出露地层有三叠系和第四系。其中以三叠系分布面积最大,为一套非稳定型复理石碎屑岩建造,遭受区域低级变质作用,形成区域变质岩,其变质程度很低,原岩结构、构造等特征保留完好。主要出露上三叠统的杂谷脑组(T3z)、侏倭组(T3zw)、两河口组(T3lh)。第四系沉积物的成因类型主要有冲积、洪积、残坡积等,其中以冲积为主,主要沿达曲沟谷及其支流呈带状分布。
达曲库区处于巴颜喀拉褶皱带的中巴颜喀拉断褶带,区内褶皱构造比较发育,主要沿NWW向展布,一般形成复式背斜或向斜。褶皱构造与断裂构造相伴产出,褶皱的完整性多被破坏,形成断层—褶皱的构造组合样式。根据库区内地下水的赋存条件、含水介质特征,可划分为第四系松散岩类孔隙水和基岩裂隙水两大类型。第四系主要分布于河谷中,是库区第四系孔隙水主要分布区。基岩裂隙水分布于断层、裂隙及风化带内,主要受大气降水补给,排泄于沟谷及河流内。库区地表水和地下水多为无色、无臭、无味、清澈透明的淡水。水质类型以HCO3-Ca型为主,局部为HCO3-Ca·Mg及HCO3-K+Na·Ca型;pH值在7.08~7.65之间,属弱碱性水;多属软水或极软水,少数属微硬水。按照环境水对混凝土腐蚀性的判别标准,
南水北调西线工程地质灾害研究
含量小于250mg/L,对混凝土无结晶性侵蚀;侵蚀性CO2含量均小于15mg/L,对混凝土无分解性侵蚀。综上所述,库区水质较好,对混凝土均无腐蚀性。二、滑坡灾害危险性分析基本思路
在收集大量的基础地质环境资料前提下,通过建立合适的分析指标体系,运用恰当的数学分析模型,对工程区进行滑坡灾害危险性等级划分,即危险性分区。基于GIS的滑坡灾害危险性分析,将运用的数学模型渗透于各个操作方法中,后面的章节将详细介绍危险性分析的步骤。
图10-1 达曲流域工程地质示意图
1.影响因素选取
工程区影响因素的选取按照以下步骤进行。通过资料、现场调查后大概确定滑坡灾害的影响因素。滑坡灾害影响因素的选取没有一个统一的标准,主要是针对工程区的实际情况确定。本书选取滑坡灾害危险性的主要影响因素为地貌条件(坡度、相对高程)、地质构造(距断层距离)、地层组合、水的影响(距水系距离),主要是基于以下考虑:(1)影响滑坡的基本因素为地貌条件、地质构造、地层组合;(2)诱发因素为水的影响。由于工程区的降雨资料以及人类工程活动资料无法获取,所以就不在分析范围之内,这两种因素对工程区的滑坡灾害危险性没有大的影响,是因为工程区的范围内降雨量基本上是一致的,同时工程区处于高山峡谷段,目前人类工程活动影响较小。
2.工程区影响因素分级
影响因素分级的目的是确立影响因素的主次关系,体现层次性。一般分为3级:一级指标是分类指标;二级指标为结构指标;三级指标为判别指标。这里选取的影响因素只有5个,所以对影响因素的分级进行简化,考虑两个分级指标,即一级指标为结构指标,分别为地形坡度、相对高程、地层组合、距断层距离、距水系距离;二级指标为判别指标,是对一级指标的进一步细化。地形坡度分为≤25°,25°~30°,30°~45°,≥45°四类;相对高程分为≤3700m,3700~3900m,≥3900m三类;地层组合分为T3zw1,T3zw2,其他三类;距断层距离分为≤50m,50~200m,200~500m,≥500m四类;距水系距离分为≤50m,50~150m,150~300m,≥300m四类。
通过以上分析,建立了工程区滑坡灾害危险性分析的指标体系,如表10-3所示。
表10-3 滑坡灾害危险性分析指标体系
三、基于GIS的危险性分析模型
1.危险性分析模型的建立
一般情况下,由于作用于滑坡灾害的因素很多,相应的因素组合状态也特别多,样本统计数量往往受到限制,所以采取信息量方法来评价滑坡危险性。采用的信息量模型为
南水北调西线工程地质灾害研究
式中:I为预测区某单元信息量预测值;Ii为因素Xi对地质灾害所提供的信息量;Si为因素Xi所占单元总面积;
南水北调西线工程地质灾害研究
为因素Xi单元中发生地质灾害的单元面积之和;A为区域内单元总面积;A0为已经发生地质灾害的单元面积之和。基于GIS的危险性分析对工程区的划分采用大小相同的单元栅格,所以上式中的单元面积就可能转化成以单元个数计算。
2.信息量表达式的计算
在影响因素图层栅格化和滑坡灾害点样本的分析过程中,应用GIS统计功能,获取每个影响因素判别指标的单元个数,代入信息量模型式10-5,计算得到单元j的信息量表达式为
南水北调西线工程地质灾害研究
当j中含有变量i时,Xji=1,否则Xji=0。(i=1,2,…,18)
表10-4为信息量计算表。可以看出,变量X1,X4,X7,X10,X18对滑坡灾害的危险性没有贡献,属于不相关因素,所以参与计算的变量为13个。
表10-4 信息量计算表
四、危险性分区及结果分析
1.单因素危险性分析
利用建立的各个影响因素栅格化数据图层和信息量的数学模型,对工程区滑坡灾害的单因素危险性分析如下:
(1)地形坡度
工程区地形坡度影响因素分为≤25°,25°~30°,30°~45°,≥45°四个范围。地形坡度≤25°的栅格单元个数为30350个,占工程区面积的43%;地形坡度25°~30°的栅格单元个数为15521个,占工程区面积的22%;地形坡度30°~45°的栅格单元个数为22868个,占工程区面积的33%;地形坡度≥45°的栅格单元个数为1321个,占工程区面积的2%(图10-2)。根据信息量模型的计算结果,地形坡度因素对滑坡灾害危险性的贡献大小依次为30°~45°,25°~30°。≤25°,≥45°的坡度范围无贡献。
(2)相对高程
工程区相对高程影响因素分为≤3700m,3700~3900m,≥3900m三个范围。相对高程≤3700m的栅格单元个数为2494个,占工程区面积的4%;相对高程3700~3900m的栅格单元个数为13033个,占工程区面积的19%;相对高程≥3900m的栅格单元个数为54053个,占工程区面积的77%(图10-3)。根据信息量模型的计算结果,相对高程因素对滑坡灾害危险性的贡献大小依次为≤3700m,3700~3900m。≥3900m的相对高程范围无贡献。
图10-2 坡度分区栅格统计图
图10-3 相对高程栅格统计图
(3)地层组合
工程区地层组合影响因素分为T3zw1,T3zw2,其他三类。地层为T3zw1的栅格单元个数为24793个,占工程区面积的35%;地层为T3zw2的栅格单元个数为33179个,占工程区面积的48%;地层为其他的栅格单元个数为12250个,占工程区面积的17%。根据信息量模型的计算结果,地层组合因素对滑坡灾害危险性的贡献大小依次为T3zw1,T3zw2。其他类型的地层无贡献。结果见图10-4。
(4)距断层距离
工程区距断层距离影响因素分为≤100m,100~200m,200~500m,≥500m四个范围。距断层距离≤100m的栅格单元个数为1887个,占工程区面积的3%;距断层距离100~200m的栅格单元个数为5979个,占工程区面积的9%;距断层距离200~500m的栅格单元个数为8290个,占工程区面积的12%;距断层距离≥500m的栅格单元个数为54066个,占工程区面积的76%(图10-5)。根据信息量模型的计算结果,距断层距离因素对滑坡灾害危险性的贡献大小依次为≤100m,100~200m,200~500m,≥500m。
图10-4 地层组合栅格统计图
图10-5 距断层距离栅格统计图
图10-6 距水系距离栅格统计图
(5)距水系距离工程区距水系距离影响因素分为≤50m,50~150m,150~300m,≥300m四个范围。距水系距离≤50m的栅格单元个数为2131个,占工程区面积的3%;距水系距离50~150m的栅格单元个数为3549个,占工程区面积的5%;距水系距离150~300m的栅格单元个数为5851个,占工程区面积的8%;距水系距离≥300m的栅格单元个数为58691个,占工程区面积的84%。根据信息量模型的计算结果,距水系距离因素对滑坡灾害危险性的贡献大小依次为≤50m,50~150m,150~300m。≥300m的距水系距离范围无贡献,结果见图10-6。
2.多因素叠加危险性分析
(1)危险性区划范围界定
多因素叠加危险性分析的信息量值范围为-1.17~3.64,为了确定危险性分析的区划范围,统计了以0.5为步长的信息量值与栅格单元个数、累计栅格单元个数的分布曲线如图10-7,图10-8,对比可以发现在-0.16,0.34,0.84左右曲线出现较明显的拐点,结合库区的工程地质情况,以及ArcGIS Desktop重分类的几种方法对比分析,将工程区危险性划分为稳定区、低危险区、中危险区、高危险区4个级别,信息量值的大小范围为-1.17~-0.16,-0.16~0.34,0.34~1.34,1.34~3.64。
(2)危险性区划图生成
通过对滑坡灾害的多因素叠加栅格图层的重分类,生成了危险性区划图。重分类就是将栅格图层按照区划范围分为-1.17~-0.16(稳定区),-0.16~0.34(低危险区),0.34~1.34(中危险区),1.34~3.64(高危险区)4类,分别赋予值1,2,3,4代表。即在GIS中,属性值为1的栅格代表的是稳定区的所有栅格;属性值为2的栅格代表的是低危险区的所有栅格;属性值为3的栅格代表的是中危险区的所有栅格;属性值为4的栅格代表的是高危险区的所有栅格。据此生成滑坡灾害危险性区划图(图10-9)。
(3)危险性结果分析
工程区危险性区划分为稳定区、低危险区、中危险区、高危险区4个级别。稳定区的栅格单元个数为21846个,占工程区面积的31%;低危险区的栅格单元个数为28864个,占工程区面积的42%;中危险区的栅格单元个数为14135个,占工程区面积的20%;高危险区的栅格单元个数为4650个,占工程区面积的7%(图10-10)。
图10-7 信息量值与栅格单元个数分布图
图10-8 信息量值与累计栅格单元个数分布图
工程区稳定区、低危险区在3种类型的地层中均存在,距水系、断层的距离较远,基本没有滑坡灾害的孕育发生或偶有小规模的滑坡灾害,是稳定性相对较好的地段;中危险区发育在距水系、断层距离较近的斜坡地段,稳定性较差,在这些地段进行工程建设,要考虑对滑坡灾害进行有效防治;高危险区主要分布在河流库岸两侧的斜坡地段,工程区已查明的滑坡大多数都发育在这些区域,主要是松散堆积、崩积物质组成的滑坡体。这些区域有可能发生比较大的滑坡灾害或滑坡灾害发生的频率较高。
图10-9 达曲流域滑坡灾害危险性区划图
图10-10 达曲流域滑坡灾害危险性分区栅格统计图
哪里可以找到即时的地质灾害信息?
地质专业知识服务系统里面有地质灾害专题,以GIS方式呈现地质灾害的分布、灾害情况和一些具体的数据,可以进入这个系统在菜单栏的专题应用里找到地质灾害数据,点击就进入地质灾害服务应用了,可以通过右侧的条件进行选择精准定位自己想要的内容,内容会在左侧地图上呈现出来。GIS可以用于地质灾害和土地污染模拟吗?
当然可以。地理信息系统 (GIS) 是表达处理以及分析与地理分布有关的专业数据的一种技术,它提供了一种快速展示有关地理信息和分析信息的新的手段和平台。 从20世80年代以来,GIS在灾害管理中得到逐步深入的应用:从简单的灾害数据管理、多源数据集数字化输入和绘图输出,到DTM和DEM模型的建立和使用;从GIS结合灾害评价模型的扩展分析;到GIS与决策支持系统的集成;再到WebGIS。GIS的核心是空间数据管理子系统,由空间数据处理和空间数据分析构成。运用GIS所具有的数据采集和提取、转换与编辑、数据集成、数据的重构与转换、查询与检索、空间操作与分析、空间显示和成果输出及数据更新等功能,我们可以根地质灾害风险评估方法研究进展
一、评估方法的分类及适用性
对基于GIS的滑坡危险性评估方法分类和评述可参见Soeters和Van Westen(1996)、Carrara等(1995,1999)、Guzzetti等(1999),Aleotti和Chowdury(1999)和Van Westen(2000)发表的文章。一致认为评估方法可分为4类:
(1)基于滑坡编目的概率方法;
(2)启发式方法(直接方法——地貌填图,或间接方法——定性图的结合);
(3)统计方法(双变量或多变量统计);
(4)确定性方法(Soeters和Van Westen,1996)。有关滑坡风险评估方面的出版物不多,但最近有一些关于滑坡风险评估的综述出版物值得称赞,如Cruden和Fell(1997)、Guzzetti(2000)、Dai等(2002)的文章以及Lee和Jone(2004)出版的教科书。根据澳大利亚岩土力学协会滑坡风险管理分委会提出的分类方法是基于定量化水平分为以下三种:
(1)定性方法(以定性术语表示概率和损失);
(2)半定量方法(指标性概率和定性术语);
(3)定量方法(概率和损失的定量化)。
总的来说,滑坡空间分析方法可以分为两大类:一是定性方法,包括滑坡编目和启发式方法;二是定量方法,包括统计概率预测和基于过程的数值模拟方法。根据Soeters和van Westen(1996)的研究,将不同尺度的滑坡空间分析所适用的方法加以概括(表2-8)。将滑坡危险性的4种方法与3种风险评估方法进行组合,便可以获得适用于中比例尺(1∶10000~1∶50000)的多种有用的方法(表2-9)。
表2-8 不同尺度滑坡灾害空间分析建议方法
表2-9 中比例尺基于GIS滑坡风险区划的评估方法和特定组合的有用性
注:0:危险性评估方法不适合风险评估方法;1:有用性中等的组合,危险性评估方法不太适合于风险评估方法;2:有用性高的组合,危险性方法可能是用于风险评估的最好方法,但这取决于数据的可得性(如历史滑坡记录);3:最有用的组合,在可得的输入数据条件下会得出最好的风险评估结果。
如果在滑坡编目中有滑坡发生的时间和规模方面的信息可以利用的话,就可以估计一定地点特定时间给定规模的滑坡发生概率。滑坡编目的另一用途是对滑坡危险性分析的结果进行验证和校正。因此,最好将滑坡编目数据分成两组,一组用于滑坡分析,另一组用于验证(Chung和Fabbri,1999)。这往往是一个最基本的、但往往被忽视的问题。应投入较大的资源进行高质量的滑坡编目,以保证获得可靠的空间分析数据。
启发式方法基于对当地有关滑坡的认识和专家的判断。这种方法还使用空间信息解释滑坡的发生。通常这样的信息包括地形、水文、地质、岩土、地貌、植被以及土地利用等信息。通过野外调查和航片的解译获得这些信息。不同专家对于环境因子对滑坡的影响判断是不同的,主要取决于他(们)对滑坡的认识和经验。这种判断的主观性以及没有确定的标准使得启发式方法具有明显的缺陷。然而,如果专家对其所研究的滑坡机制有深入的了解,并对研究区进行过详细调查研究,使用这种评估方法得出的结果还是比较准确的和适用的,特别是对滑坡敏感性的首次估计。启发式方法适用于定性和半定量风险评估,可以用有限经费编制出较大面积的可靠的滑坡图,当然,这些工作要由专家来做才行。
与定性方法不同的是,定量方法主要基于客观准则进行评估,从理论上来讲,使用大致相同的数据会得出比较一致的结果。定量方法中统计方法应用的最普遍。利用多元回归或判别分析,将环境因子(如地质、地貌、土壤、地形、水文、植被等)分布图与滑坡编目图(发生地点)进行空间统计计算,得到滑坡危险性图。或者通过概率预测模型(如贝叶斯概率法和模糊逻辑法)也可以计算得出滑坡危险性图。滑坡危险性图是静态的,没有考虑气象条件的变化、流域汇水条件的变化和人类对环境条件的影响。统计方法非常适用于空间概率的评估,但在评估时间概率或未来环境变化效应时存在问题。如果与不同触发事件的滑坡编目图结合,可能是在较大范围地区进行定量风险评估的最好方法。
另一类定量方法是基于过程的模型方法。这类模型将地形属性(如坡度、曲度、坡向、距河道的距离、汇水面积等)与水文特征(土壤饱和度、渗透性和水力传导性等)相结合,以获得有关土壤岩土性质(如凝聚力、内摩擦角、比重),从而进行坡体稳定性分析。主要可利用的模型是无限坡法,如由Montgomery和Dietrich(1994)开发的SHALSTAB模型,该模型在美国许多地区和巴西里约热内卢得到了广泛的应用。最近由Günther等(2002)开发的数字电影模拟方法也用于滑坡空间分析上。
对于定量风险评估,基于滑坡编目的概率方法通常是最好的方法(假设条件是过去发生的滑坡事件是未来发生滑坡的指示)。然而,这种方法需要相当完整的历史滑坡记录。在因气候变化导致环境发生巨大变化的地区,滑坡频率将发生显著变化,该方法不适用于这类地区。一般来讲,滑坡风险定量评估的最好选择是应用确定性滑坡稳定模型,与山坡水文条件动态模型相结合。这需要覆盖大面积地区的大量数据,并且要对滑坡类型和滑坡深度进行很大程度的简化。
二、评估方法的进展
1.滑坡编目方法的进展
世界上只有极少数的地方建立了过去50~100年的完整的历史滑坡记录。在一些国家建立国家滑坡编目数据库,有时可以通过互联网获取数据库中的信息。其中最好的数据库包括意大利、中国香港、瑞士、法国、加拿大和哥伦比亚。可以利用这些数据进行滑坡危险性概率评估,这是定量风险评估的基础。根据Crovelli(2000),通常利用历史滑坡数据进行滑坡危险性评估的适用概率模型有两类:连续时间模型和离散时间模型。例如Coe等(2004a,b)将西雅图市(1909~1999)历史滑坡数据库有关信息输入到泊松模型中,据此估计出单体滑坡未来发生概率;还利用双峰概率模型估计了滑坡群年发生概率。这些成果图显示出未来可能发生的滑坡密度、平均重现期和超越概率。
香港是另一个具有相当丰富信息的滑坡数据库的典范。使用了将概率方法和启发式调整因素相结合的方法,利用该数据库的详细信息,估计了切坡失稳的年概率(Finlay等,1997)。历史滑坡记录还被用于计算滑坡触发事件(如降雨和地震)的概率。新西兰是这类分析研究的理想场所,确定了不同降雨强度下降雨临界值和滑坡概率(Glade,1997;Crozier和Glade,1999)。估计未来滑坡事件的频率和规模是必不可少的工作,最好在任何重大灾难性事件(地震、暴雨和飓风等)发生后,地貌学家应立即开展滑坡现象的编目以及不同承灾体损失调查。
2.启发式方法的进展
许多国家和地区实施的定性风险评估程序采用了启发式方法。例如美国加州(Blake等,2002)、新西兰(Glassey等,2003),澳大利亚(AGSO,2001;Michael—Leiba等,2003)、法国(Flageollet,1989)和瑞士(Lateltin,1997)。在澳大利亚国家地质灾害易损性的城市社区项目(或城市项目)是一项有关分析和评估包括滑坡在内的地质灾害对城市构成风险的计划,所使用的方法绝大多数是基于专家或地貌的启发式方法(AGSO,2001)。大区域的滑坡风险定量评估通常是一项艰巨的任务,因为计算整个地区的滑坡强度和频率是非常困难的事情,即便是借助GIS先进手段也是如此。在实践中,通常使用简化的定性评估程序,就像瑞士的做法一样(Lateltin,1997)(图2-1)。
地质灾害风险评估理论与实践
图2-1 瑞士水与地质联邦办公室采用的滑坡风险评估简化方案
注:表格中E为动能;V为滑坡速度;M为潜在物源物质的厚度;H为泥石流的高度。在这种方法中,没有根据滑坡发生的概率对滑坡事件做进一步的划分。
基于专家经验的定性方法将评估地区划分为几类风险地区:即“非常高”、“高”、“中等”、“低”、“非常低”的不同等级的风险地区。建议要对这些不同等级的风险说明实际应用的含义。例如,在非常高的风险地区,需要物理和非物理治理措施,必须限制更多的基础设施建设等。澳大利亚岩土力学协会滑坡风险分委会发布了有关财产滑坡风险评估的术语和方法指南,该指南综合考虑了滑坡发生的可能性及其可能的后果(与图3-1的方法相似),使用的方法适用于GIS环境的空间分析。
由于GIS技术的普遍应用,越来越多地使用了间接性的敏感性编图方法,而有关利用GIS的专家启发式的地貌编图或指数叠加编图方法(如Barredo等,2000; Van Westen等,2000)方面的出版物越来越少。 如上所述, 目前有关滑坡的数据库的不完善和数据标准的不统一,以及滑坡敏感性、危险性和风险性评估中存在的诸多困难,都需要专家的经验和知识开展滑坡风险评估和区划研究。特别是将地貌学家的启发式推理与计算机辅助模拟相结合的专家模型用以滑坡风险评估。美国开发的SMORPH模型便是这类模型的代表。该模型根据地形坡度和曲度将山坡划分为高、中、低不同的滑坡危险性等级。
风险编图将会从问题导向方法中受益匪浅,如可以仅选择那些已知的、造成破坏的滑坡失稳类型来确定风险影响因素。
3.统计方法的进展
地理信息系统(GIS)非常适用于间接的滑坡敏感性编图。可利用GIS的数据整合技术将使所有可能影响滑坡的地形要素与滑坡编目图结合起来(Van Westen,1993;Bonham Carte,1996;Chung和Fabbri,1999)。Chung和Fabbri(1999)开发出基于预测模拟的统计程序,将有利函数应用于每个参数上。使用该统计方法,可将地形单元或网格元调整为代表某特定滑坡类型未来发生概率的新数值。
值得注意的是,如何在滑坡敏感性统计评估中确定基础编图单元。从DEM中自动生成地形单元分类是主要的挑战之一。Chuang等(1995)定义了“唯一条件多变形”的概念,以此作为统计分析的基础单元对参数输入层进行叠加。M ller等(2001)定义并描述了利用GIS从DEM中生成的“土壤力学响应单元”(SMRU)的概念。以此作为基础单元,将启发式方法与土壤力学方法相结合对德国Rheinhessen地区进行了滑坡危险性评估。Juang等(1992)、Davis和Keller(1997)、Binaghi 等(1998)、Ercanoglu和Gokceoglu(2001)以及Gorsevski等(2003)综合运用了模糊学方法,进行了基于GIS的滑坡危险性评估。
采用实证权重模拟的双变量统计分析一直被广泛应用。该方法可以灵活地测试用于滑坡敏感性分析的输入因素的重要性,并可作为基于专家编图的辅助工具(Lee等,2002;Suzen和Doyuran,2003;Van Westen等,2003)。多变量统计分析也很重要,也是被广泛应用的方法(Carrara等,1999;Santacana等,2003)。根据最近的文献,目前最受欢迎的新的滑坡危险性统计方法是逻辑回归和人工神经网络(ANN)(如Chung等,1995;Rowbotham和Dudycha,1998;Ohlmacher和Davis,2003;Dai和Lee,2003)。ANN为输入层和输出层之间提供了一种转换机制,需要借助MATLAB系统完成有关计算。
用于滑坡风险评估的统计方法存在一些缺陷。一是简化了滑坡影响因素,仅考虑那些容易进行编图的因素或可以从DEM中生成的参数。二是关系到使用的统计方法的假设条件——在相似的环境组合条件下发生滑坡的可能性大。实际上环境因素在不断发生变化。三是不同滑坡类型有着不同的属性特征,应单独进行分析和评估。实践中因种种困难,难于做到这点。统计模型通常忽视了滑坡的时间方面,不能预测控制条件(如水位波动、土地利用变化和气候变化)的影响。因此,统计模型不能提供全面的时间概率信息,从而使其应用到定量风险评估变得困难。然而,如果能够利用特定时间间隔或特定重现期的滑坡编目图来生成统计关系,就会改进统计方法的评估水平。
近年来有一些关于将统计方法与不同时期滑坡图相结合的研究成果发表。例如,Zêzere等(2004)提出了用于葡萄牙里斯本北部滑坡危险性评估的区域尺度概率统计分析方法。他们基于“唯一条件多变形”这一基础单元,利用逻辑回归方法进行了滑坡危险性分析,得出的预测率曲线被用于滑坡敏感性图的定量解释和分类。由于滑坡与特定重现期的触发降雨事件相关,他们还将时间概率值关联起来。Dai和Lee(2003)在香港的部分地区也开展了类似的研究。然而,上述两个案例研究只开展了滑坡危险性评估,没有开展滑坡的风险评估。目前关于应用统计方法开展滑坡风险评估的研究还很少见。Remonodo等(2004)在西班牙北部进行的风险评估(包括使用过去损失数据进行易损性评估)是为数不多的研究案例之一。
4.确定性和动力模型方法的进展
在确定性分析中,根据斜坡稳定性模型计算的安全系数来确定滑坡危险性。确定性模型提供了滑坡危险性最好的定量信息,可直接用于岩土工程设计或定量风险评估。然而,确定性模型需要大量的输入数据,这些数据需要通过实验室试验和野外测量获得,因此仅能在小范围内使用确定模型。Dietrich等(2001)、Gritzner等(2001)、Chen和Lee(2003)、Van Beek和Van Asch(2003)等研究人员,将确定性模型与降雨诱发的潜层滑坡联系起来,开发出了水文动力模型(模拟孔隙水压力的时间变化)与斜坡稳定性模型耦合的GIS模型,用以定量分析临界孔隙水压力值。由美国森林管理局开发的斜坡稳定性模型也是基于无限斜坡方程。Hammond等(1992)使用了该模型并利用蒙特卡罗模拟器得出斜坡失稳的概率值。Davis和Keller(1997)以及Zhou等(2003)还尝试将蒙特卡罗与模糊方法相结合来确定斜坡失稳概率。
用于地震诱发的滑坡危险分析的确定型方法通常是基于简化的Newmark斜坡稳定性模型,Miles 和Ho(1999)、Luzi等(2000)、Randall等(2000)、Jibson等(2000)在GIS的每个计算单元上应用Newmark斜坡稳定性模型,得出滑坡危险性预测值。Refice和Capolongo(2002)还开展了将蒙特卡罗模拟方法与Newmark斜坡稳定性模型相结合的研究。
Anderson和Howes(1985)使用了完全不同的方法。他们开发出将水文斜坡稳定性模型耦合在内的2D模型(目前为CHASM),用于道路边坡滑坡危险性编图。Van Asch等(1993)和Moon 和Blackstock(2003)也使用了该方法对奥地利西部的Vorarlberg的小型汇水流域以及新西兰惠灵顿市分别开展了滑坡危险性评估。Miller和Sias(1998)使用2维有限元模型模拟非承压地下水的通量,计算了水位高度和大型滑坡不同剖面(采用简化的Bishop分隔方法)的安全系数。
GIS被广泛应用于滑坡活动范围的模拟。Dymond等(1999)开发了不同暴雨事件和土地利用情景下,浅层滑坡及其向河网输送沉积物的、基于GIS的计算机模拟模型。高分辨率的DEM是模型中的主要部分。De Joode和VanSteijn(2003)建立了一个简单又完整的过程模型,用以模拟降雨诱发的滑坡初始滑动、沿剖面的径流、物质传输、侵蚀以及在主要沟谷中的泥石流扩展。在模拟滑坡的流动速度和影响范围时,普遍采用了细胞单元自动生成法(Avolio等2000)。
许多研究人员(如Terlien,1996;Montgomery等,1998;Dietrich等,2001;VanBeek,2002)开展了GIS环境下的确定性动态模拟研究。如果输入气象数据,确定型模型就能够预测斜坡失稳的空间和时间频率。最近研发出的一些模型可以预测斜坡失稳后物质的运移过程并确定出泥石流的影响带(Chen和Lee,2003)。这些信息将直接用于滑坡易损性和风险评估。确定性模型与统计模型相比,其优势是可以预测不同的土地利用情景(目前不存在)下的滑坡危险性变化,还可以预测气候条件变化情景下的滑坡危险性。
然而,确定型模型的参数化方面的限制,使滑坡发生的时空频率及其影响范围的预测的准确性具有许多不确定性。在汇水流域尺度上,仅可对诱发机制较为简单、水文构型简单的滑坡能进行模拟预测。由于滑坡发生的时间和空间分布数据有限,难于进行模型的矫正和有效性检验。在滑坡活动范围和沉积带中物质厚度的分布是重要的模型校正与检验参数(Van Asch等,2004)。
地质灾害危险区划分与评价
地质灾害危险性分区是在地质灾害易发区基础上进行的。地质灾害的易发性代表了地质灾害是否具备形成条件和发生地质灾害的难易程度。而地质灾害的危险性则包括了地质灾害的活动程度、威胁的范围、易发程度和诱发因素,是地质灾害形成的可能性。仍然采用信息量法进行计算。
一、地质灾害危险性评价指标体系
控制和影响地质灾害形成的地质条件很多,但归纳起来主包括两方面的条件,即地质灾害形成的基础条件和诱发条件。依此,可建立地质灾害危险性评价指标体系(图6-12)。
1.地质灾害活动程度
地质灾害活动程度主要是指地质灾害活动的历史。在本次地质灾害危险性评价中,主要考虑地质灾害活动的点密度和面密度,将其作为地质灾害危险性分区的依据。但地质灾害活动的历史只能说明地质灾害的过去,而未来地质灾害活动程度怎样,危险性大小主要取决于地质灾害的形成条件及诱发因素。
2.地质灾害形成条件
地质灾害形成条件包括主要控制因素和影响条件。本次地质灾害危险性区划评价中主要选取斜坡结构类型、工程地质岩组、水文地质条件、斜坡几何形态、断裂构造和人类活动等条件。
3.地质灾害威胁范围
地质灾害一旦发生,其可能影响的范围,即存在地质灾害危险的范围。本次确定的地质灾害威胁范围主要包括易发区本身斜坡地带,同时也包括沟谷底部及河流、水库内的一定范围。
图6-12 地质灾害危险性程度评价指标体系图
4.地质灾害诱发因素
诱发因素是指能够使地质环境系统向着地质灾害发生的方向演化或者导致地质灾害发生的内动力和外动力地质作用。本区诱发条件主要包括地震、降雨和人类工程活动。但由于本区地震活动相对较弱,而且能够代表地震活动程度的地震烈度和地震动峰值加速度在县域内区别不大,因此本次危险性评价中未考虑地震活动的影响因素。参与评价的主要诱发因素为降雨和人类工程活动。
二、地质灾害危险性分区
1.评价指标的量化
危险性评价采用信息量法进行计算,用1:50000地形图提取基础地理信息,从遥感影像中提取植被图层,利用降雨量等值线图提取降雨指标,人类工程活动主要从地形图和灵台县发展规划中提取,得到各种评价指标的图层,根据实际调查资料可以获得地质灾害的点密度和面密度,并将这些指标引入GIS操作系统中。
2.基于GIS的信息量分析模型迭加计算
采用基于GIS的信息量分析模型进行迭加计算,通过计算诸影响因素对斜坡变形破坏所提供的信息量值,作为区划定量指标,既能正确地反映地质灾害的基本规律,又简便、易行、实用,且便于推广应用。计算原理与过程如下:
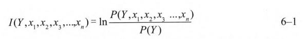
信息预测的观点认为,滑坡与崩塌等地质灾害的产生与否与预测过程中所获取信息的数量和质量有关,是用信息量来衡量的,即:

甘肃省灵台县地质灾害研究
式中:I(Y,x1,x2,x3,…,xn)为因素组合x1,x2,x3,…,xn对滑坡与崩塌等地质灾害所提供的信息量,P(Y,x1,x2,x3,…,xn)为因素x1,x2,x3,…,xn组合条件下滑坡与崩塌等地质灾害发生的概率,P(Y)为滑坡与崩塌等地质灾害发生概率。
根据条件概率运算,式6-1可进一步写成:
甘肃省灵台县地质灾害研究
式中:Ix1(Y,x2)为在因素x1存在时,因素x2对滑坡与崩塌等地质灾害提供的信息量。
信息量法评价模型的建立过程如下:
1)首先计算各因素xi对地质灾害发生事件(H)提供的信息量I(xi,H),即:

甘肃省灵台县地质灾害研究
式中:P(xi|H)为地质灾害分布条件下出现xi的概率,P(xi)为研究区内出现xi的概率。
式6-3是其理论模型,但在实际计算时往往用下列样本频率计算:
甘肃省灵台县地质灾害研究
式中:S为研究区评价单元总数,N为研究区有地质灾害分布的单元总数,Si为研究区内含有评价因素xi的单元数,Ni为分布在因素xi内特定类别内的地质灾害单元数。
2)计算某个评价单元内n种因素对地质灾害发生的提供的总信息量Ii:

甘肃省灵台县地质灾害研究
式中:Ii为评价单元总的信息量值,n为参评因子数。
3)用总的信息量Ii作为该单元影响地质灾害发生的综合指标,其值越大越有利于地质灾害的发生,该单元的地质灾害危险性亦越高。
4)信息量结果值的分级:通常情况下,利用该模型得到的结果值Ii,是连续分布的绝对数值,需要对最终的全部单元的信息量值划分级别,将全区划分成不同等级的易发程度分区。
根据Ii的大小,给单元确定稳定性等级。Ii<0表示该单元变形破坏的可能性小于区域平均变形破坏的可能性;Ii=0表示该单元变形破坏的可能性等于区域平均变形破坏的可能性;Ii>0表示该单元变形破坏的可能性大于区域平均变形破坏的可能性。也就是说,单元的信息量越大越有利于斜坡变形破坏。
5)统计分析(主观判断或聚类分析)找出突变点作为分界点,将区域分成不同等级。
评价指标的基础数据均为定量描述的数据,须采用标准化、规格化、均匀化,或对数、平方根等数值变换方法统一量纲,或者用归一化处理后变成无量纲的数据,方可代入评价模型。
3.建立模型步骤与方法
(1)因子图层的准备和重分类
首先,为进行有效的分析准备因子图层。按照信息量模型中选取因素的方法确定参与评价的因子,然后将其以1:50000地图图层的形式进入GIS系统中并将得到的因子图进行重分类。
(2)各因子图层与地质灾害分布图的叠加分析
各因子图层准备好之后,就可以在GIS中结合地质灾害分布图进行分析。对式6-5作变换可得:

甘肃省灵台县地质灾害研究
式中:N/S为区域总的地质灾害分布密度,在研究区域一定的情况下,它是一个定值;N/Si为地质灾害在某图层特定类别内的分布密度。由于可以看出,模型中关键点之一是求出每一因子图层中各类型中地质灾害的分布密度。为统计Ni/Si,需要得到地质灾害在每种因素的各个类别中的分布情况,在GIS中利用其空间分析(spatial analyst)功能来实现。
(3)各图层各类别信息量值的计算
将各图层因子的属性表和对应的地质灾害分布图做空间分析运算后,按如下公式计算出各图层各类别信息量值:

甘肃省灵台县地质灾害研究
由此可得各图层因子内各类别的信息量,按照各类别与对应的信息量之间的关系,对各类别赋予其对应的信息量值,可得单因子图层的信息量图。每个图层因子中各类别的信息量值求出后,就可以对不同图层之间相对应的栅格进行累加,最终结果得到整个研究区的一张综合信息量图,即地质灾害易发性区划图。
(4)格网大小的选取
单元网格的划分是否恰当,影响着地质灾害易发性区划结果的合理性,也影响到区划过程中各参数获取的难易程度。研究区栅格单元大小的选择依赖于分析所需的数据精度,既要足够小以获得所需细节,也要足够大以便计算机存储和保证分析的效率。在确定单元大小时,应该考虑以下几个方面的因素:
1)输入数据的精度;
2)结果数据库的大小和磁盘容量;
3)期望的相应时间;
4)将要进行的应用和分析。
比输入精度更精细的单元并不能获得比输入更精确的数据。结果栅格数据集应该与输入数据集同精度或更粗糙些。单元的大小依据研究不同而不同,单元越小,精度和准确度越高,但在编码、数据库存储和分析处理速率上的成本相应增大。对多数分析来说,基于单元分析的效率比精度损失更为重要。
适宜网格单元大小的选取受多种要素的影响,但各要素对单元选取的敏感性是不相同的(其中最为敏感的要素是地形),这些要素对格网大小选取的影响过程仍值得深入研究。在很多情况下,适宜格网单元大小的选取完全取决于专家知识和经验,无论其他要素对格网大小选取影响多大,原始数据、特别是地形数据的分辨率是格网单元选取首要考虑的要素。灵台县地质灾害危险性区划评价仍然采用500m×500m剖分栅格单元,灵台县全区评价单元共计8084个。
根据前述信息量计算方法,计算得到各单元总信息量。各因素对滑坡、崩塌等地质灾害发生的贡献越大,发生地质灾害的可能性就越大。利用统计学中常用的自然断点法将危险性区划图重新分类,将灵台县全区的地质灾害危险性划分为三级:高危险区、中危险区、低危险区。
在信息量模型定量计算分区的基础上,综合考虑各种因素,最终人工勾画出灵台县地质灾害危险程度分区图(图6-13)。

图6-13 灵台县地质灾害危险性分区图
依据地质灾害危险性分区结果,充分考虑地质灾害防治规划工作的开展,综合灵台县地貌、岩土特征、地质构造、年降雨分布规律及人类活动程度等特点,将灵台县滑坡、崩塌、泥石流灾害危险程度划分为地质灾害高危险区、中危险区、低危险区和极低危险区,根据地质灾害分布、组合特征又进一步划分为16个亚区(表6-4)。
4.危险性分区评价
(1)地质灾害高危险区(Ⅰ)
灵台县地质灾害高危险区面积232.49km2,占总面积的11.35%。包括6个地质灾害高危险亚区,即黑河北岸梁原乡横渠—付家沟—官村—朱家湾—杜家沟—景家庄子地质灾害高危险亚区(Ⅰ1)、黑河南岸梁原乡张家塬—温家庄—东门—朱家湾高地质灾害危险亚区(Ⅰ2)、达溪河北岸沿线地质灾害高危险亚区(Ⅰ3)、达溪河南岸中台镇—蒲窝乡—新开乡邵寨镇黄土梁峁丘陵地质灾害高危险亚区(Ⅰ4)、邵寨镇黄土梁峁丘陵地质灾害高危险亚区(Ⅰ5)和独店乡什字塬北部黄土梁峁丘陵地质灾害高危险亚区(Ⅰ6)。本区所处地貌单元主要为黄土梁峁沟壑区及黄土丘陵区。岩性主要为第四系黄土和白垩系紫红色泥岩、砂岩、砂砾岩,地表黄土覆盖厚度较大,黄土大都向冲沟倾斜。局部地形坡度较大,区内工程地质条件差,岩土层的表层风化较严重,本区人类活动比较强烈,沟谷边坡人口比较密集,人类活动对环境的改造极为强烈,主要包括建房切坡、开挖窑洞、修路等,人为活动诱发滑坡、崩塌的可能性较大。本区植被稀疏,以农作物为主,不利于水土保持。丘陵区沟谷大多处于壮年期或幼年期,侵蚀作用比较强烈。在汛期遇暴雨和连阴雨天气容易形成滑坡、崩塌灾害。特殊的岩土条件和气象条件为地质灾害的形成提供了可能性。本区也是全县滑坡、崩塌地质灾害最严重的地区。
表6-4 地质灾害危险程度分区说明表
(2)地质灾害中危险区(Ⅱ)
灵台县地质灾害中危险区面积604.03km2,占总面积的44.12%,地质灾害为灾滑坡,崩塌、泥石流和不稳定斜坡。包括4个地质灾害中危险亚区,即黑河北岸梁原乡黄土梁峁丘陵地质灾害中危险亚区(Ⅱ1),黑河南岸-什字塬以北黄土梁峁丘陵地质灾害中危险亚区(Ⅱ2),什字塬以南-达溪河以北黄土梁峁丘陵地质灾害中危险亚区(Ⅱ3),达溪河南岸中台镇蒲窝乡新开乡邵寨镇广大黄土梁峁丘陵地质灾害中危险亚区(Ⅱ4)。本区岩性为第四系中上更新统黄土覆盖于白垩系砂砾岩、砂岩、泥岩基岩之上,厚度不等,在降水作用下容易沿黄土与基岩的接触面形成滑坡。区内人类工程活动相对较强,人口比较多。人类工程活动比较强烈主要表现是为各种目的而进行的切坡,加大了崩塌、滑坡的临空面。黄土层岩石风化破碎,节理裂隙发育,为灾害中易发区。丘陵区沟谷大多处于壮年期或幼年期,侵蚀作用比较强烈,沟坡多为阶状陡坡。在汛期容易形成滑坡、崩塌灾害。灾害点分布在村庄周围、公路沿线、河谷边坡地带。地质灾害一旦发生,危害较大。
(3)地质灾害低危险区(Ⅲ)
灵台县地质灾害低危险区面积912.48km2,占总面积的44.53%,地质灾害发育较少,危险性相对较小。包括6个地质灾害低危险亚区,即梁原乡王家沟黄土塬地质灾害低危险亚区(Ⅳ1)、黑河宽阔河谷地质灾害低危险亚区(Ⅳ2)、什字塬地质灾害低危险亚区(Ⅳ3)、达溪河河谷地质灾害低危险亚区(Ⅳ4)、邵寨镇黄土塬地质灾害低危险亚区(Ⅳ5)、百里乡林场地质灾害低危险亚区(Ⅳ6)。本区黄土塬区及黄土小台塬区和宽阔的河谷区工程地质条件很好,地形平坦,虽然人类工程活动较频繁但很少发生地质灾害,百里乡林场区植被茂密,人烟稀少,人类工程活动较少,人类工程活动弱,地质环境相对优越,为地质灾害低危险区。
相关文章
