中国生物医学文献服务系统怎么登录1、首先打开pc浏览器,搜索中国生物医学文献服务系统官网。
2、其次点击浏览器中带官网字符的链接。
3、最后进入链接之后输入自己的账号和
新买的qPCR仪仪器验证都做什么
实验室买的qPCR仪器,经常需要校准,不校准会对定量结果有影响吗?
qPCR仪使用过程中需要校准,一般qPCR仪采用的卤素灯光源,存在持续衰减的情况,需要每半年校准一次,否则对定量结果的准确性有一定影响。现在很多qPCR仪都采用高强度的LED光源,像Azure Cielo的qPCR仪就能很好解决这类后期维护的问题。qpcr原理及应用是什么?
一、原理
在指数阶段,PCR 产物的量在每个循环中大约增加一倍。然而,随着反应的进行,反应组分被消耗,最终一种或多种组分变得有限。此时,反应减慢并进入平台期。
最初,荧光保持在背景水平,即使产物以指数方式累积,也无法检测到荧光的增加。最终,足够的扩增产物积累以产生可检测的荧光信号。
发生这种情况的循环数称为量化循环,或 q。由于 q值是在试剂不受限制的指数阶段测量的,因此可以使用实时 qPCR 根据描述反应进程的已知指数函数可靠和准确地计算反应中存在的模板的初始量。
反应的 Cq主要由扩增反应开始时存在的模板量决定。如果在反应开始时存在大量模板,则需要相对较少的扩增循环来积累足够的产物以产生高于背景的荧光信号。因此,反应将具有低的或早期的 Cq。
二、应用
实时荧光定量 PCR/qPCR 检测已成为快速、灵敏地测定和定量各种生物样品中核酸的首选工具,具有多种应用,例如基因表达分析、食品中转基因生物的检测和癌症表型分析.
在研究实验室中,qPCR 测定广泛用于定量测量转化细胞系中的基因拷贝数(基因剂量)或突变基因的存在。与逆转录 PCR (RT-PCR) 相结合,qPCR 分析可用于精确定量基因表达的变化,例如,通过测量细胞的变化,响应不同环境条件或药物治疗的表达增加或减少mRNA水平。

qPCR/实时 PCR 仪器
实时 PCR 检测系统由配备光学检测模块的热循环仪组成,用于测量每个扩增循环期间荧光团与目标序列结合时产生的荧光信号。
Bio-Rad 实时 PCR 检测系统具有热循环仪和可互换的模块,用于荧光团的单重和多重检测以及固定的实时 PCR 单元。所有 qPCR 系统都具有热梯度功能。
qpcr原理及应用是什么?
一、原理
DNA的半保留复制是生物进化和传代的重要途径。双链DNA在多种酶的作用下可以变性解旋成单链,在DNA聚合酶的参与下,根据碱基互补配对原则复制成同样的两分子拷贝。
在实验中发现,DNA在高温时也可以发生变性解链,当温度降低后又可以复性成为双链。因此,通过温度变化控制DNA的变性和复性,加入设计引物,DNA聚合酶、dNTP就可以完成特定基因的体外复制。
但是,DNA聚合酶在高温时会失活,因此,每次循环都得加入新的DNA聚合酶,不仅操作烦琐,而且价格昂贵,制约了PCR技术的应用和发展。
耐热DNA聚合酶-Taq酶的发现对于PCR的应用有里程碑的意义,该酶可以耐受90℃以上的高温而不失活,不需要每个循环加酶,使PCR技术变得非常简捷、同时也大大降低了成本,PCR技术得以大量应用,并逐步应用于临床。
PCR技术的基本原理类似于DNA的天然复制过程,其特异性依赖于与靶序列两端互补的寡核苷酸引物。PCR由变性-退火-延伸三个基本反应步骤构成:
1、 模板DNA的变性:模板DNA经加热至93℃左右一定时间后,使模板DNA双链或经PCR扩增形成的双链DNA解离,使之成为单链,以便它与引物结合,为下轮反应作准备;
2、 模板DNA与引物的退火(复性):模板DNA经加热变性成单链后,温度降至55℃左右,引物与模板DNA单链的互补序列配对结合;
3、 引物的延伸:DNA模板-引物结合物在72℃、DNA聚合酶(如TaqDNA聚合酶)的作用下,以dNTP为反应原料,靶序列为模板,按碱基互补配对与半保留复制原理,合成一条新的与模板DNA链互补的半保留复制链;
重复循环变性-退火-延伸三过程就可获得更多的“半保留复制链”,而且这种新链又可成为下次循环的模板。每完成一个循环需2~4分钟,2~3小时就能将待扩目的基因扩增放大几百万倍。
二、应用
1、基因表达分析:例如结核分岔杆菌(Mycobacterium tuberculosis)是一种生长相当缓慢的细菌,传统培养及鉴定一般需要花数周时间。
2015年时Watanabe Pinhata和Cergole-Novella以自己发展的real time PCR检测mpt64,直接检测病人痰液中的结核分岔杆菌,分析715个检体657个病人,其检测灵敏度(sensitivity)及特异性(specificity)分别为90.3%及98.6%。
整个实验流程可以在5个小时内完成,此方法可以用于没有套装试剂(kit)可以使用的实验室。
2、检验生物芯片的结果;
3、siRNA与miRNA诊断;
4、基因型鉴定;
5、饮食分析;
6、兽医微生物检测。

特点
1、荧光实时定量PCR的基本原理有两个要点:首先是对PCR反应中的每一个循环的反应产物进行实时检测并记录下来;
其次,用于检测PCR产物实时检测的荧光染料标记在一段可以与单链PCR产物(模板)特异性杂交的探针上,并且处于淬灭状态,只有当探针与模板特异性结合以后才有可能释放出荧光信号。
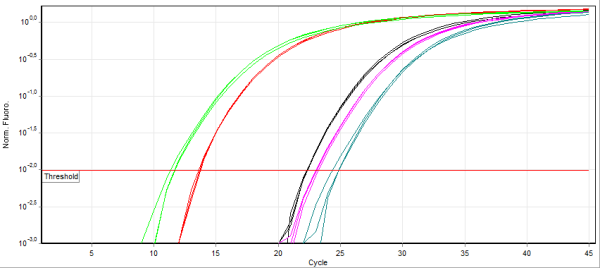
2、每一轮循环中PCR的产出量都以荧光信号的形式被PCR仪的光学检测系统记录下来,在某一循环中荧光信号的强度达到预先设定的阈值时,此时的循环数称为CT(Threshold Cycle),Ct值与起始的模板量成反比,起始的核酸量越多,达到阈值的循环数就越少,换句话说CT值会越小。
如果要确定量的话,需要做出标准曲线,以Ct值为纵坐标,起始模板数为横坐标作图。在新的MIQE规范中Ct这个惯用的名词被重新定义为Cq值(quantification cycle)。
请问什么叫QPCR
QPCR 问:什么是QPCR?答:QPCR的英文全名是Real-time Quantitative PCR Detecting System。即实时荧光定量核酸扩增检测系统,也叫实时定量基因扩增荧光检测系统,简称QPCR。问:QPCR、DNA检测、PCR之间的关系?答:聚合酶链式反应(Polymerase Chain Reaction简称PCR)原理凭借敏感、特异、快速的特点荣获93年诺贝尔化学奖。因其在病原体检测方面的独特优势,因而发达国家在相关方法和仪器方面的研发非常快,成为分子生物学诊断的主流,至今仍处于学术和应用前沿:第一代产品:基因扩增热循环仪(DNA Thermal Cycler)纯生信文章如何用qpcr来验证
纯生信文章用qpcr需要寻找网络中的关键模块来验证。利用Diffcorr包对关键模块中的基因进行差异相关性分析,选择差异相关性较大的基因进行生存分析,并利用RT-qPCR对进行验证,从而确定肺腺癌中的关键基因。

qpcr的概括
QPCR的英文全名是Real-time Quantitative PCR Detecting System。即实时荧光定量核酸扩增检测系统,也叫实时定量基因扩增荧光检测系统,简称定量即时PCR、即时定量PCR,是一种在DNA扩增反应中,以萤光染剂侦测每次聚合酶链锁反应循环后产物总量的方法。
qPCR分析亦适于更具挑战性的应用,如多重侦测与高通量分析。qPCR有许多优点。其结果可以较快取得且稳定,因为是采用非常敏感的化学萤光,而且不需要在PCR反应后的侦测步骤。此外,因为反应后不需打开管子而减少了操作污染。
相关文章
-
你好求中国生物医学文献服务系统可详细阅读
-
化学生物行业,宽尔化学进销存软件与详细阅读
生物制药行业应该选用什么ERP软件可以看看宽尔化学进销存,是针对化学与生物试剂公司定制研发的。但他们没有财务模块,所以基本上你还是避免不了使用金蝶、用友之类的软件。如
