打印机打印出来的东西变小了,怎么解决?设备问题;可以参考下面方法解决:
操作工具:电脑win7,word2013
1、首先,点击左上角打印图标,弹出打印机设置界面,点击属性。
2、进入第二步,页面
2024-10-15
打印机打印出来的东西变小了,怎么解决?设备问题;可以参考下面方法解决:
操作工具:电脑win7,word2013
1、首先,点击左上角打印图标,弹出打印机设置界面,点击属性。
2、进入第二步,页面
2024-10-15
什么相机软件拍照美颜效果最好看现在,我们不用买昂贵的自拍神器,也能用手机拍出大片的感觉哦。因为现在网上的拍照软件那么多,比如说美颜相机、天天P图、美图秀秀等等,简直让人
2024-10-09
智能水印考勤打卡,专业的工作相机有哪些?推荐马克水印相机哦,因为它不仅可以通过拍照生成带时间地点的水印照片,后台还可以生成考勤数据,方便管理者管理考勤。公司领导让我推荐一
2024-10-04
打印机打印东西断断续续怎么回事原因分析: 1、打印色带使用时间过长。 2、打印头长时间没有清洗,脏物太多,打印头有断针。 3、打印头驱动电路有故障。 解决方法: 1、先调节一
2024-10-02
如何有效投诉长城宽带?长城宽带对于投诉,就是能赖就赖,能拖就拖。 有些 托 说打电话12315投诉就可以了,其它什么都不用。那是扯谈,无凭无证都是空谈。长城宽带的用户 ,如果想退款
2024-09-29
哪些主板支持uefi启动你好,现在很多主板已经不是以前的BIOS启动,已经换成UEFI启动,这个是适应新主板的启动方式。 UEFI版PE系统在传统电脑上,即MBR模式下无法启动的。两者的区别
2024-09-29
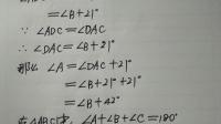
请各位学霸来帮我解答一下这题怎么做?万分感谢。9+120%x=21 解:1.2x=21-9 1.2x=12 x=10 4分之3x-3分之1x=3分之5 解:(3/4-1/3)x=5/3 5/12x=5/3 x=4 x+6分之5x=9分之8×4分之3
2024-09-16
免费的水印相机哪一个能够规范地记录工作?推荐马克水印相机吧,比较规范,而且水印的模板特别多。有工程验收、安全旁站、材料进场、打卡考勤、隐蔽位置检查等等等等适合20多种场
2024-09-06
为什么我用耳机麦克风说话会有杂音?耳机麦克风说话会有杂音的原因:1、插入麦克风耳机会有杂音应该是设置的问题。2、音量设置不合理 ,音量过大,是麦克有杂音的一个主要原因。3、
2024-08-30
通信线路常见故障与排除路由器常见的三种故障排除方法(1) 1.串口故障排除 串口出现连通性问题时,为了排除串口故障,一般是从show interface serial命令开始,分析它的屏幕输出
2024-08-28
求大神帮忙看一下这个电脑,单主机大概多少钱,谢谢3000元左右。 这台电脑主机的配置虽然不高,但是显卡之值钱呀,单这张显卡就算是二手就要1400多。想配一台台式电脑,请大神帮我看
2024-08-28
固态硬盘如何装系统一、准备工作 1、ssd固态硬盘要安装到台式电脑上 2、网上下载系统镜像 3、4G及以上U盘 根据上面的教程制作好大白菜U盘启动盘,然后将下载的电脑系统iso文
2024-08-28
小学报名系统登录网址小学报名系统登录网址操作方法:1、首先浏览器中搜索“(地区)小学报名系统”,以北京为例。2、下面点击“北京市义务教育入学服务平台”。3、进入主界面后,我
2024-08-27
六安有哪些牙科医院六安竹子口腔医院、六安市第二人民医院、六安中山医院、六安市第四人民医院、六安市中医院
一、六安竹子口腔医院
六安竹子口腔医院擅长项目:各种牙齿矫正
2024-08-27
ipad mini4和ipad4的区别一、搭配的处理器不同iPad mini 4搭配的处理器为苹果A8芯片;iPad 4搭配的处理器为苹果A6X芯片。二、摄像头配置不同iPad mini 4的摄像头配置为800万
2024-08-27
平舆县汽车站到潢川火车站有车吗?电话直接做到潢川汽车站 然后做2路公交 直达火车站从驻马店火车站怎么搭车去平舆驻马店到平舆不通火车。可以从驻马店火车站乘去平舆的依维
2024-08-22
武汉滨江金茂府营销中心电话是多少?武汉滨江金茂府吉屋营销中心电话是4006569058转14073(复制“4006569058,14073”到手机拨号界面可快速一键拨打),免费咨询项目优惠信息,专车直
2024-08-22
想问一下水印打卡相机,记录工作痕迹的相机app有没有什么比较好的推荐?我觉得马克水印相机算是很完美的留痕相机了,满足基本的取证拍照、打卡留痕、定位考勤等功能,还有内置防篡
2024-08-22
Global3 AI 3D相机里的照片怎么搞进手机里?这款数码相机在照片存储以及数据传输方面,与其他相机并没有什么不同…… 因此,想把这部相机的照片传进手机,或者用无线传输,或者用读取
2024-08-21
PS4 Pro画面比普通PS4好多少?对VR提升大不大好很多,但是不明显 帧数上能有所提升,对VR的支持尚不明确,但是至少游戏画面会有单独的选项 增强版 和 帧数提高。PS4 Pro对VR的提升
2024-08-21
VR空间好不好,主要的发展方向是啥?vr空间就是虚拟现实技术 虚拟现实技术是一种可以创建和体验虚拟世界的计算机仿真系统,它利用计算机生成一种模拟环境,是一种多源信息融合的交
2024-08-20
陕西都市快报热线电话是多少?陕西都市快报新闻热线电话是:029-83145678。播出时间:每晚21:30。《都市快报》是都市青春频道新推出的强档新闻类节目。它摒弃传统新闻观念,注重新
2024-08-19
水印相机怎么工作定位?下载马克水印相机就可以啦!拍照自动添加定位,自动校准并且无法篡改,很适合用来工作时监测员工的动向,我觉得很是不错。百度能查到相关资料的。工作用水印相
2024-08-19
朝阳区城管监察大队·地址:朝阳区西大望路36号朝阳城管大队 ·行车路线:市内乘988,677,348,30,513,973,486路公共汽车在平乐园北站下车,52,743,687,41路等公共汽车在 平乐园站下车。
2024-08-19
有没有不收费还好用的水印相机?有的!马克水印相机就不收费,发现得太晚了,之前用今日水印相机收费了好久,才发现马克这款宝藏,功能非常庞大,水印模板也很多,而且还是免费的,太值了有什
2024-08-11