急!急急!复变函数求大神解答u=y^2, v=-x^2 实部和虚部分离 ux=0,uy=2y,vx=-2x,vy=0 实部和虚部分别对两个自变量的偏导数 令ux=vy uy=-vx得到y=x 柯西黎曼方程 也就是说f(z)的
MATLAB的cvx中有个除法的表示,但是会报错如下,哪位大佬能解答一下?
matlab使用ode45函数一直报错,哪位大佬能帮帮忙?
【出错原因及编程错误】
1、主程序
1)时间区间设定错误,t=12000值设定偏大,不符合微分方程题意,所以t应取1.2。所以 tspan=[0 1.2];而不是tspan=[0 12000];
2)for i=[1: (size(y,5))];.......end 该循环语句没有作用
2、自定义微分方程函数
1)dTUdt=TMfunc(t,y)定义有误,与主程序 @TMfunc3函数名不统一
2)S+R=A0*(1-1/ (exp(t/tm)));赋值错误,不能同时用赋值给双变量的和
【解决思路】
1、将tspan=[0 12000];更改为tspan=[0 1.2];
2、for i=[1: (size(y,5))];.......end 该循环语句没有作用,可以取消
3、自定义微分方程函数名,可以定义成 dTUdt=TMfunc3(t,y)
4、S+R=A0*(1-1/ (exp(t/tm)));赋值错误,表达式只能赋值给一个变量,应改为
S=A0*(1-1/(exp(t/tm)))-R;其中R值应给出,如R=0.1;
5、如R是变量的话,则给出微分方程的缺失dR/dt的关系式
【修改后的代码】
1、主程序:
clc,close all
U0=-0.5;R0=0;S0=0;H0=0.5;
tspan=[0 1.2];
y0=[U0,H0,S0];
[t,y]=ode45(@TMfunc3,tspan,y0);
U=y(:,3)-y(:,2);
figure(1)
plot(t,y(:,1),'r'),hold on
plot(t,y(:,2),'g'),hold on
plot(t,y(:,3),'b')
xlabel('t');ylabel({'U(t)';'H(t)';'S(t)'});
legend('U(t)','H(t)','S(t)')
figure(2)
plot(t,U,'k')
xlabel('t');ylabel('ΔU(t)');
2、自定义微分方程函数
function dTUdt=TMfunc3(t,y)
U=y(1);H=y(2);S=y(3);
R=0.1;
H=R-U;
K2=143.31;tm=0.5;X=0.5;A0=0.0255;
S=A0*(1-1/(exp(t/tm)))-R;
dU=(A0-U)/tm+2*K2*U^2*R;
dH=-S/tm-3*K2*U^2*R;
dS=-S/tm+K2*U^2*R;
dTUdt=[dU;dH;dS];
end
【执行结果】

【本题主要函数及算法】
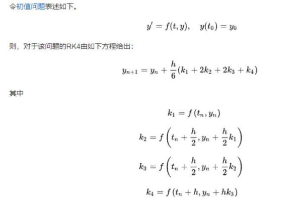
1、ode45函数。ode45,常微分方程的数值求解。MATLAB提供了求常微分方程数值解的函数。当难以求得微分方程的解析解时,可以求其数值解,Matlab中求微分方程数值解的函数有七个:ode45,ode23,ode113,ode15s,ode23s,ode23t,ode23tb 。
ode45表示采用四阶-五阶Runge-Kutta算法,它用4阶方法提供候选解,5阶方法控制误差,是一种自适应步长(变步长)的常微分方程数值解法,其整体截断误差为(Δx)^5。解决的是Nonstiff(非刚性)常微分方程。
ode45函数的语法
[T,Y] = ode45(odefun,tspan,y0)
[T,Y] = ode45(odefun,tspan,y0,options)
[T,Y,TE,YE,IE] = ode45(odefun,tspan,y0,options)
sol = ode45(odefun,[t0tf],y0...)
[T,Y] = ode45(odefun,tspan,y0)
odefun 是函数句柄,可以是函数文件名,匿名函数句柄或内联函数名
tspan 是区间 [t0 tf] 或者一系列散点[t0,t1,...,tf]
y0 是初始值向量
T 返回列向量的时间点
Y 返回对应T的求解列向量
[T,Y] = ode45(odefun,tspan,y0,options)
options 是求解参数设置,可以用odeset在计算前设定误差,输出参数,事件等
[T,Y,TE,YE,IE] =ode45(odefun,tspan,y0,options)
在设置了事件参数后的对应输出
TE 事件发生时间
YE 事件发生时之答案
IE 事件函数消失时之指针i
sol =ode45(odefun,[t0 tf],y0...)
sol 结构体输出结果
2、龙格库塔法(Runge-Kutta算法)

这样,下一个值y(n+1)由现在的值y(n)加上时间间隔(h)和一个估算的斜率的乘积所决定。该斜率是以下斜率的加权平均:
k₁是时间段开始时的斜率;
k₂是时间段中点的斜率,通过欧拉法采用斜率k1来决定y在点tn+h/2的值;
k₃也是中点的斜率,但是这次采用斜率k2决定y值;
k₄是时间段终点的斜率,其y值用k3决定。
当四个斜率取平均时,中点的斜率有更大的权值:

上述就是RK₄算法的迭代式内容。
求教,用matlab做函数图,设定了很多变量,但是函数只得到了一个值,为什么会这样?
1.猪坚强的回答有漏洞,inv求逆只对方阵有效(否则会报错),不过问题确实在这; 2.你的T=(5829-0.02446*(P-100000))/(16.63*log(P/100000))命令中除号“/” 两边都是1*501向量,在matlab中同维向量除法x/y采用x*pinv(y)运算,这里pinv(y)是求y的伪逆,在帮助中可以查到,因此结果不是一个向量,而是一个数; 3.解决办法是在除号前加一点变成T=(5829-0.02446*(P-100000)) ./ (16.63*log(P/100000)),用fly的方法也行,不过没必要用那么多点乘,尤其是标量运算更没必要。这是一个c语言的求圆面积的程序,求哪位大佬帮我改一下这段代码的错误,感谢
图中报错意思:

修改后的代码:
#include
#define PI 3.14159
int main()
{
int R; //R为圆的半径
double perimeter; //圆的周长
double area; //圆的面积
R = 5;
perimeter = 2.0*PI*R;
area = PI* R*R;
printf("%f,%f", perimeter, area);
return 0;
}
运行截图:

在pycharm中运行pygame,不报错但是黑屏。哪位大佬可以帮忙?代码如下:
黑屏可能是因为更新屏幕的方法有问题。代码中的两行设置屏幕大小的代码重复了,并且最后一行调用的是 self.bg_color 而不是 self.settings.bg_color,这也可能是导致黑屏的原因。请尝试更改代码: import sys import pygame from settings import Settings from ship import Ship class AlienInvasion: def __init__(self): pygame.init() self.settings=Settings() self.screen=pygame.display.set_mexcel如何用if表示如果单元格内有任意内容则内容不为空。情况比较复杂,还请大佬指点你一下?
你那条公式中,all必须要加双引号,表示文本,不加双引号的话,EXCEL会以为你写的是个函数,然后又没从函数库中找到all函数,所以报错#NAMA,意思是不能识别的函数名称。 你那条公式,你意思是只要非空,填什么都算呗, 那就把E6="all"换成E6<>"" 意思是E6不等于空值。 【其实你那个公式可以改个写法,能变短一点】: =IF(COUNTA(D2:E2)=0,"全天空档",IF(COUNTA(D2:E2)=2,"无空档",IF(D2="","上午空档","下午空档"))) 其中COUNTA是统计非空单元格的数量。 这条公式意思是: 如果D2:E2非空单元格数量=0,那么返回 全天空档相关文章
- 详细阅读
-
如果函数的某个参数设置了默认值,则详细阅读
听说UiBot支持C++语言扩展,具体要怎么操作?UiBot本身的部分代码就是基于微软的.Net框架,用C#语言编写的。所以,也可以用C#语言编写UiBot的插件(以下简称为.Net插件)。实际上,微软的
-
请教筛选相同字符的函数详细阅读
excel中什么函数可以筛选重复数据,具体函数怎么输写?countif函数即为条件计数函数,统计Excel中指定条件的重复出现次数,在C!单元格内输入=countif,然后选择计数范围即可。excel中
-
C++的一个构造函数问题详细阅读
c++构造函数调用问题b[3] 意思就是申请3个Point 类型的变量,那肯定就是调用了3次,a(2)也调用一次,*c[4] 这是一个指针,指针只是一个地址,就是一个物理地址的地址数,他在new 的时候才
-
Hooks允许我们使用函数调用来定义详细阅读
Hooks概念理解本节任务: 能够理解hooks的概念及解决的问题
1. 什么是hooks
Hooks的本质:一套能够使函数组件更强大,更灵活的“钩子”
React体系里组件分为 类组件 和 函数组件 -
杭州壹齐互联信息技术有限公司详细阅读
张杰的个人资料【个人简介】 英文名:Jason 昵称:张小杰、包子、小白、杰宝 小杰 性别:男 民族:汉族 籍贯:中国四川省成都市新都区新繁镇 生日:1982年12月20日 星座:射手座 身高:180C
-
用C/C++编写详细阅读
用C语言编写一个简单程序,有哪些步骤,可以举一个例子详细讲解下吗?//以Helloworld示例 //先使用编辑工具如windows的记事本或vc++环境,或linux的vim编辑器创建一个hello.c文件 /
-
自己定义函数后,在matlab的命令行用详细阅读
matlab定义函数时显示输入参数不足报错信息说的很清楚,你调用函数时的输入参数数目不足。 从图中可见,你的调用方式是不带输入参数,只有函数myfun。猜测你很可能是从编辑器里面
-
ADAMS中如何将加权加速度函数离散详细阅读
Adams如何测量物体加速度
各位使用Adams的同学们,你们知道如何测量物体加速度吗?在这篇教程内小编就为各位呈现了Adams测量物体加速度的操作方法。
Adams测量物体加速度的操 -
请问有谁知道云南机场集团的信息技详细阅读
请问昆明长水机场信息技术员招聘笔试内容考什么?面试又涉及哪些内容呢笔试全是选择题,公共基础(跟事业单位考得差不多)50个单选,专业知识:80个单选,涉及计算机基础,计算机网络,操作系
