excel怎么循环编号有的小伙伴在使用Excel软件处理数据时,需要输入序号,如果一个一个输入,会非常麻烦,但是却不知道如何生成循环序号,那么小编就来为大家介绍一下吧。
具体如下:
1.
如何计算滞后步长10窗口长度10的方差
如何在EXCEL中算方差和标准差
一、计算方差:打开EXCELl,在表格中输入需要计算方差的数值,点击“fx”。

二、选中需要计算方差数值的单元格,点击“fx”。

三、在弹出来的对话框里,搜索函数“VARPA”,点击转到,点击右下角的确认。

四、在函数参数的Value1输入或选中需要进行方差计算的数值,点击确定。

五、完成。

六、标准差计算,同文件,选中需要计算方差数值的单元格,点击“fx”。

七、在弹出来的对话框里,搜索函数“STDEVPA”,点击转到,点击右下角的确认。

八、在函数参数的Value1输入或选中需要进行标准差计算的数值,点击确定。

九、完成。

如何在EXCEL中算方差和标准差
1.首先打开电脑上的Excel,输入所要计算的数据值; 2.找到Excel右上角的【自动求和】点击它; 3.下拉菜单点击【其他函数】; 4.在弹出的窗口里选择(方差)STDEV,标准差是(STDEVP),点击确定即可成功运算。【摘要】 在excel中怎么用方差计算标准差【提问】 1.首先打开电脑上的Excel,输入所要计算的数据值; 2.找到Excel右上角的【自动求和】点击它; 3.下拉菜单点击【其他函数】; 4.在弹出的窗口里选择(方差)STDEV,标准差是(STDEVP),点击确定即可成功运算。【回答】如何用excel计算标准差的方法
在excel中利用公式中的STDEVP函数就能计算出一组数据的标准差。具体操作请参照以下步骤。
1、在电脑上打开需要计算标准差的excel数据文件,进入编辑菜单界面。

2、选择标准差要出现的单元格,然后用鼠标点击单元格进行框选。

3、在界面的上方的菜单栏“公式”选项中找到“自动求和”选项,点击后会出现一个下拉菜单,选中“其他函数”。

4、出现“插入函数”的窗口,在“选择类别”栏选择“全部”,在“选择函数”栏找到标准差的函数STDEVP并选中,然后点击“确定”退出此窗口。

5、出现“函数参数”的窗口,在第一栏选择需要计算标准差的数据,选择完后,点击“确定”退出设置窗口。

6、完成以上设置后,Excel就自动计算出了目标数据的标准差。

(五)估计方差、离差方差、变差函数
1.估计方差
任何一种估计方法,采用样品值去估计被估块段的真实值时,都会产生误差。估计方差就是用样品V去估计某一块段V的平均品位时所产生的估计误差。
令
为估计方差,V为任意样品数据(信息),如钻孔岩心探槽取样,块道断面取样的化验值等;V可视为一条矿带,一个矿床,一个矿块等。令
为估计方差,V为任意样品数据(信息),如钻孔岩心探槽取样,块道断面取样的化验值等;V可视为一条矿带,一个矿床,一个矿块等。

γ(h)与γv(h)的关系图
沿钻孔岩心样品的情况
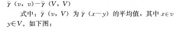
用v来估计V,有两种情况:v可以是V中的一部分,v在V内;v或在V外面,不在V内。不管哪种情形,估计方差 

地质统计学(空间信息统计学)基本理论与方法应用

地质统计学(空间信息统计学)基本理论与方法应用
几点说明
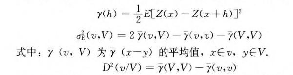
a.设v包含于V之中,用v估计V的估计方差
视为v对V的外延方差(extension variance)记为: (v,V)。
b.无论v及V是怎样的域,例如V=V1+V2,
(Si为每i个样品的支撑),估计方差的计算公式均成立。
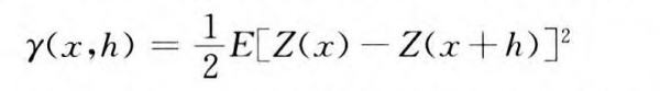
c.按估计方差的定义,变差函数可看成是用(x+h)估计Z(x)的估计方差之半,因为
地质统计学(空间信息统计学)基本理论与方法应用
d.估计方差
依赖四个因素:V与v之间的距离;V的几何特点;v的几何特征,以及变差函数的特征。
e.计算估计方差的作用是衡量所利用的样品数据,估计块段的平均品位是否有足够的精确度,从而得到优化的克里格估值,譬如用以判断哪种勘探工程方案最优,从而作出最优的勘探计划。
f.很明显 是γ的线性组合,知道γ的模型后,方差便可求出。
2.离差方差(dispersion variance)
(1)支撑效应(support affect)
设V为一地质体(一个矿床或一某矿带),其中有若干样品为v,离差方差就是研究v在V中的离散程度的。生产实践告诉我们,离散现象存在着两种情况:
设离差方差为D2(v/V):一是当V是一固定体积时,则离差方差D2(v/V)随V的大小而改变,V小则离差方差大,V大则D2(v/V)小,当v大到与V一样大时,D2(v/V)便不存在了。二是若V的大小是固定的,D2(v/V)随V的大小而改变。V小则D2小,V大则D2也大。当V小到与v一样大时,D2也就不存在了。
这两种情况所反映的支撑(承载)对离散强度的影响,在地质统计学中便称为支撑(承载效应)。实际工作中很有用。
如下图。

地质统计学(空间信息统计学)基本理论与方法应用
(2)离差公式
离差方差的通式D2(v/V)为
D2(v/V)=C(v,v)-C(V,V)
若用变差函数表示则为

地质统计学(空间信息统计学)基本理论与方法应用
离差方差在储量计算及采矿设计中都很重要,因为可回采矿石的品位并非勘探时的岩心品位,岩心品位频率分布曲线也不同于选择采矿单元品位的频率分布曲线。
研究离差方差可分为两类:一类是研究未经开采的矿体中品位变化的情况;另一类是研究矿床中有多少可回采储量。这些情况都要求知道最小开采单元的平均品位和储量。可见对于最小开采单元的研究是尤其重要的。譬如在进行矿业设计时,只知道岩心样品的品位位置,而不知道最小开采单元的平均品位,设计便无法进行。用岩心样品品位作开采计划,必然会过高过低地估计出矿品位和可采储量,会给矿山带来很大损失。特别是现在,随着矿山生产规模的不断扩大,选用的开采设备大型而先进,矿山确定的最小开采单元也在不断变大,因此还停留在用岩心样品位来确定矿山生产矿石的品位和储量,相差就会很大。从地质统计学的理论上讲,也完全违背了地质统计学的区域化变量理论,以岩石样品所作的变差函数与以最小开采单元为支撑所作的变差函数是完全不同的。如下图:

地质统计学(空间信息统计学)基本理论与方法应用
实际上,利用岩心样品来计算矿山储量和品位的教训是不少的。据了解,美国的双峰铜矿和南非的一个铀矿,就是因利用岩石样品来计算储量和确定品位,受到了严重损失。
3.变差函数与变差图
变差函数是地质统计学的基本工具,地质统计学中所有计算都以它为基础。区域化变量理论是通过变差函数及其变差图来描绘、实现的。所以地质统计学的创造人马特隆教授的学生,著名的地质统计学家Journel教授在讲到变差函数时,再三强调变差函数在地质统计学中的重要作用。用十分关键和十分重要两个“十分”来突出它的重要性。这是需要我们认真认识的。

地质统计学(空间信息统计学)基本理论与方法应用
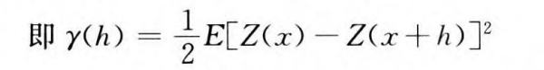
如果γ(x+h)与x取值无关,只依赖于h(基本步长或基本滞后),则可以把γ(x+h)写作γ(h)。

地质统计学(空间信息统计学)基本理论与方法应用
γ(h)称作变差函数,即是矢量h的一个函数。当h这个矢量在三维空间时,则γ(h)在三维空间进行计算,并作出三维空间的变差函数模型;若h在二维平面,则只需作二维的变差函数模型即可。
如果以h为横坐标,γ(h)为纵坐标作出的图形,则称作变差图(或称变差函数曲线),显然γ(h)是区域化变量的函数表达式,变差图是γ(h)函数的图形表达。
变差图是迄今为止描述矿床变化性的最理想的数学工具,变差函数正是通过作出符合实际的变差图来描述区域化变量的空间规律性和随机性的。因此,变差图反映矿床变化性的程度好坏,是至关重要的,它关系到对矿床变化性的正确描述和矿山生产的储量和品位的正确估计。可以不夸张地说,成功与失败系于变差图的制作上。
作变差图(或称绘制变差函数曲线)分两个步骤进行:首先制作实验变差图(实验变差函数曲线),然后根据实验变差图用一种合适的理论变差函数来拟合它,使其成为理论变差图(或称理论模型)。
实验变差函数就是根据有限的实测数据构制的变差函数,为区别于理论变差函数,通常以γ*(h)表达。

地质统计学(空间信息统计学)基本理论与方法应用
显然γ*(h)是[Z(xi)-Z(xi+h)]2的算术平均值。实验变差函数γ*(h)是理论变差函数γ(h)的估计值。对不同的滞后距(h),按照公式γ*(h)可计算出相应的γ*(h)值来。得出诸对h,γ*(h)值,然后以h为横坐标,γ*(h)值为纵坐标的直角坐标上标出诸点[h,γ*(h)]来,将各点用直线段连接起来,便得到实验变差图(或实验变差曲线)。
这里要着重指出:变差函数、估计方差、离差方差3个计算公式的重要性。

地质统计学(空间信息统计学)基本理论与方法应用
因为对这3个公式的正确理解和应用,关系到对地质统计学的正确理解和应用。
如何用matlab计算样本均值和方差
1、在相关窗口里面,直接输入相关的数据。

2、这个时候,需要通过统计来点击基本统计中的双样本。

3、下一步如果没问题,就根据实际情况确定对应的参数。

4、这样一来会生成图示的结果,即可用matlab计算样本均值和方差了。

标签:信息技术 MicrosoftOffice excel MicrosoftExcel 标准差
相关文章
-
excel数字循环6789012346789012345详细阅读
-
求Excel格式转换,谢谢详细阅读
excel怎么转换文本格式?Excel中单元格格式转换成文本格式的快捷键是:在单元格中先输入一个英文单引号,在输入数字时即可变成文本格式。操作方法:
1、首先将电脑中使用的输入法按 -
excel筛选功能:选择后进行筛选区域详细阅读
EXCEL表筛选后修改部分数据再筛选就没有了内容你好刷选后,在进行全选显示全部
在进行第2次刷选即可你的是刷选后,直接进行了刷选,相当于抛弃了第1次刷选前的数据
excel表格开始 -
excel 的单元格里面有文本也有公式详细阅读
excel如何提取包含数值、文字单元格中的数字1、选中需要提取数字的无规律的单元格,点击“方方格子”。2、点击“更多”下拉菜单,点击“提取数值”.3、跳出“提取数值”对话框,
-
如何使用Excel表格制作抽签?详细阅读
怎样做抽签怎样做抽签 男的抽签程序是我们在生活和工作当中经常会遇到的情况,所以要学会制作简单的超前场决,对我们的工作重要,也是时常常会用到 Excel表格怎么制作简易号码抽
-
杭州壹齐互联信息技术有限公司详细阅读
张杰的个人资料【个人简介】 英文名:Jason 昵称:张小杰、包子、小白、杰宝 小杰 性别:男 民族:汉族 籍贯:中国四川省成都市新都区新繁镇 生日:1982年12月20日 星座:射手座 身高:180C
-
microsoft office用不了了 老是提详细阅读
电脑开机总弹出Microsoft office 的窗口,怎么都关不掉,肿么办?不安装就可以了,进控制面板,卸载程序,找到这个软件,全部干掉。Microsoft Office Word 已停止工作。出现了一个问题
-
EXCEL设置多级关联下拉菜单,如果出详细阅读
EXCEL设置多级关联下拉菜单,如果出现前一级选择相同,后一级要求设置不同选项,请问下怎么设置?要用index查询公式,或数组公式 建立所谓的辅助列,有效性再引用,选择excel中怎么实现多
-
请问有谁知道云南机场集团的信息技详细阅读
请问昆明长水机场信息技术员招聘笔试内容考什么?面试又涉及哪些内容呢笔试全是选择题,公共基础(跟事业单位考得差不多)50个单选,专业知识:80个单选,涉及计算机基础,计算机网络,操作系
- 详细阅读
