哪一款腾讯极光投影值得推荐?之前我总盯着手机刷剧眼睛都快瞎了,后来坚决买一个投影仪,入手的是腾讯极光投影T5,这个大屏幕真的不要太爽!而且我又搭配上专业的幕布,家里简直就是电
怎么利用高斯克吕格坐标作图
高斯坐标的高斯-克吕格投影坐标
高斯- 克吕格投影是按分带方法各自进行投影,故各带坐标成独立系统。以中央经线投影为纵轴(x), 赤道投影为横轴(y),两轴交点即为各带的坐标原点。纵坐标以赤道为零起算,赤道以北为正,以南为负。我国位于北半球,纵坐标均为正值。横坐标如以中央经线为零起算,中央经线以东为正,以西为负,横坐标出现负值,使用不便,故规定将坐标纵轴西移500公里当作起始轴,凡是带内的横坐标值均加 500公里。由于高斯-克吕格投影每一个投影带的坐标都是对本带坐标原点的相对值,所以各带的坐标完全相同,为了区别某一坐标系统属于哪一带,在横轴坐标前加上带号,如(4231898m,21655933m),其中21即为带号。

高斯克吕格投影知识求助
主要是为了解决平面直角坐标中横轴坐标出现负值的问题,高斯-克吕格投影后中央经线左右各有3度,对应的赤道长约为330km,中央经线左侧(西)的为负值。坐标起算西移500公里后,整个6度的投影带内的横坐标就都是正值了。西移500公里而不是330多公里是考虑到中央经线的横坐标值是一个相对的整数值,而且为将来邻带坐标的使用留下余地。高斯-克吕格投影的特点和主要用途
等角投影,中央经线不变形,赤道与中央经线的交点为坐标原点,低纬度地区变形小,高纬度地区变形大,与中央经线的经差越大面积和距离变形越大。
假想一个平面卷成一个横圆柱面并把它套在球体外面,使横轴圆柱的轴心通过球的中心,球面上一根子午线与横轴圆柱面相切。这样,该子午线在圆柱面上的投影为一直线,赤道面与圆柱面的交线是一条与该子午线投影垂直的直线。
将横圆柱面展开成平面,由这两条正交直线就构成高斯-克吕格平面直角坐标系。为减少投影变形,高斯-克吕格投影分为3度带和6度带投影。

扩展资料:
l高斯投影6度带:自0子午线起每隔经差6自西向东分带,依次编号1,2,3,…。我国6度带中央子午线的经度,由69°起每隔6°而至135°,共计12带(12~23带),带号用N表示,中央子午线的经度用L0表示,它们的关系是:L0=6N-3。
l高斯投影3度带:它的中央子午线一部分同6度带中央子午线重合,一部分同6度带的分界子午线重合,如用n表示3度带的带号,表示带中央子午线经度,它们的关系图所示。我国带共计22带(24~45带)。
参考资料来源:百度百科-高斯-克吕格投影
高斯坐标到屏幕坐标的变换
平移至图幅左上角。将高斯坐标原点平移至图幅左上角,即可实现由高斯坐标到屏幕坐标的变换。高斯坐标即高斯克吕格坐标系,投影简称“高斯投影”,又名"等角横切椭圆柱投影”,地球椭球面和平面间正形投影的一种。
什么叫高斯投影?高斯平面直角坐标系是怎样建立的
高斯—克吕格投影也叫高斯投影是一种横轴等角切椭圆柱投影。

它是将一椭圆柱横切于地球椭球体上,该椭圆柱面与椭球体表面的切线为一经线,投影中将其称为中央经线,然后根据一定的约束条件即投影条件,将中央经线两侧规定范围内的点投影到椭圆柱面上,从而得到点的高斯投影。
高斯投影的条件为:
(1)中央经线和地球赤道投影成为直线且为投影的对称轴
(2)等角投影
(3)中央经线上没有长度变形
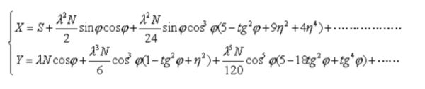
根据高斯投影的条件推导出的高斯—克吕格投影的计算公式为:

更具这个公司就建立出来高斯平面直角坐标系了。
扩展资料:
高斯-克吕格投影是由德国数学家、物理学家、天文学家高斯于19 世纪20 年代拟定,后经德国大地测量学家克吕格于1912 年对投影公式加以补充,故称为高斯-克吕格投影,又名"等角横切椭圆柱投影”,是地球椭球面和平面间正形投影的一种。

高斯克吕格投影这一投影的几何概念是,假想有一个椭圆柱与地球椭球体上某一经线相切,其椭圆柱的中心轴与赤道平面重合,将地球椭球体面有条件地投影到椭球圆柱面上高斯克吕格投影条件:a) 中央经线和赤道投影为互相垂直的直线,且为投影的对称轴; b) 具有等角投影的性质; c) 中央经线投影后保持长度不变。
参考资料:百度百科-高斯投影
相关文章
- 详细阅读
-
随机森林模型有没有一个具体公式,不详细阅读
python随机森林分类模型,测试集和训练集的样本数没有准确按照70%和30%分配?进行比例划分的时候 从 int 型 转化为了 float 型, float型总是会有微小的误差的,这个不是大问题。
-
明基ex9298投影机参数详细阅读
明基投影机的分辨率是多少呢?明基投影机,分辨率是根据不同的型号提供的,有800*600,有1024*768的,有1920*1080的。这个你需要提供型号才知道它具体分辨率的哦投影机的重要参数?一、
- 详细阅读
-
当贝投影仪f1外接ps4pro使用怎么样详细阅读
当贝投影F1能否连接电脑当屏幕使用?不论是台式电脑还是笔记本可以连接 当屏幕使用的 。可以投屏看的 。当贝F1投影仪超级大屏幕!看电影很过瘾 。同事家里买的就是当贝F1投影仪
-
有没有用投影仪玩ps4的老哥详细阅读
ps4可以连接投影仪吗可以连投影机,不过需要具备以下条件。投影仪有HDMI接口(或者游戏机要有VGA接口),买根线即可,市场上都有卖的,一般十来块钱一根。如果投影仪没有HDMI,可以去某宝
- 详细阅读
-
瑞诚投影机魅影E-9使用方法详细阅读
测量投影仪的原理及使用方法,注意事项图1仪器工作原理图投影仪工作原理如图1所示,被测工件Y置于工作台上,在透射或反射照明下,它由物镜0成放大实像Y′(倒像)并经光镜M1与M2
-
250W到300W的投影仪 辐射距离是多详细阅读
投影仪的辐射范围有多远?对人体有多大的害处?的电脑是液晶的就更好了 电脑辐射一般在55厘米就已经辐射不到我们了 更何况是2米呢 更重要的一点是 辐射 是分 “时间” “距离”
-
我的台式机显示:此设备不支持接收mi详细阅读
电脑不支持miracast,怎么更改设备就可以支持了呢?不支持miracast的情况有两种。第一种:就是【此设备不支持miracast,因此不能以无线投影到它】这种彻底的没救了,因为是硬件设备本
