excel公式是什么意思是在excel单元格内输入公式的意思。公式可以用来做单元格的数据统计和计算。请问这个EXCEL公式是什么含义?度友,这个公式调用了if函数,and函数,isna函数,vloo
________叫做圆周率,用公式表示:圆周率=_____÷ ______.
._________________________叫做圆周率,用公式表示:圆周率=_____÷ ______。
圆周率为圆的周长与该圆直径的比值;用公式表示:圆周率=_C_÷ _r_(周长除以直径)。圆周率公式?
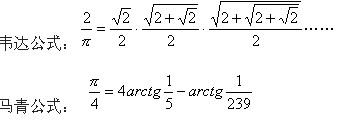
圆周率是一个数学常数,通常用希腊字母 π 表示。它是圆的周长与直径的比值,也可以通过级数公式来计算。以下是两种常见的圆周率公式: 1. π = 圆的周长 ÷ 圆的直径 2. π = 4 × [1 - 1/3 + 1/5 - 1/7 + 1/9 - 1/11 + ...] 其中,第二个公式是莱布尼兹级数(Leibniz formula),也称为交替级数(alternating series)。它是通过无穷级数的方式逼近圆周率,每一项的分数为奇数分之一,可以通过不断累加项来逼近圆周率。然而,莱布尼兹级数的收敛速度较慢,需要累加很多项才能达到较高的精度。什么是圆周率(π)?
圆周率(π)是一个数学常数,通常用希腊字母π表示,它代表的是圆的周长与直径的比值,即π=周长÷直径。圆周率是一个无限不循环小数,其小数点后的数字从未重复过,也无法预测其下一位数字。目前已知的圆周率小数点后的数字已经计算到了数千亿位,但仍然无法确定其最后一位数字。圆周率在数学、物理、工程等领域中都有广泛的应用,例如计算圆的面积、体积、周长等,以及在计算机科学中用于算法设计和密码学等方面。圆周率的公式
c/d=π c/2r=π=3.14 圆周率=周长÷直径 ☆⌒_⌒☆ 希望可以帮到you~计算圆周率的公式有什么?
计算圆周率的公式?
圆周率,是一个大于三且小于四的【无理数】。
我国的祖冲之的【祖率】,分疏率22/7,和密率355/113.
看着简单,茫茫数字海洋,能够找出这几个数字用来近似表示【圆周率】,也实在不易!
常用的也就是3.1415926535,,,,
到了高等数学,学了“级数”知识,可以用“泰勒级数”点的方法来逼近圆周率π。这也算是【公式】吧。写出来老长一大溜。
有资料显示,我国的电脑(大型计算机)可以将【π】计算到小数点后头1000万位。



相关文章
- 详细阅读
-
您好,非常冒昧再打扰您,请问您编写的详细阅读
关于冒昧打扰的客气话有哪些?1、真的很抱歉,这样修改可以吧。2、真是不好意思,给您添麻烦了。3、不好意思,处长,我把这个业务操作一遍您看看可有什么问题。4、主任您好,您看我这样
-
我在word文档没有办法使用公式这个详细阅读
在WORD里不能插入公式,怎么办?由于word软件版本不一样,出现不兼容才导致的此问题,请参照以下步骤进行设置。1、在电脑上打开目标word文档,插入公式时发现公式按钮为灰色,不能操
-
请问数学: 二进制怎么理解呢?比如,十详细阅读
怎么理解二进制二进制,是计算技术中广泛采用的一种数制,由德国数理哲学大师莱布尼茨于1679年发明。二进制数据是用0和1两个数码来表示的数。它的基数为2,进位规则是“逢二进一
-
excel 的单元格里面有文本也有公式详细阅读
excel如何提取包含数值、文字单元格中的数字1、选中需要提取数字的无规律的单元格,点击“方方格子”。2、点击“更多”下拉菜单,点击“提取数值”.3、跳出“提取数值”对话框,
-
excel会员等级怎么填写公式,求助详细阅读
excel等级公式怎么写excel等级公式的写法如下:
1、把表格打开。2、点击某一个单元格,如C2。3、输入等级公式=IF(B2>=85,"优",IF(B2>=74,"良",IF(B2>=60,"及格","不及格")))这里设置B -
怎么显示函数公式错误?详细阅读
excel标准差函数为什么提示公式错误答:excel标准差函数提示公式错误可能是因为你在excel软件当中选择错了公式,没有选择正确的标准差函数导致无法运算公式,所以会提示你公式错
-
word转XML格式中的公式要怎么转换详细阅读
如何将word转化为XML格式的文件在WPS软件中打开word文档,然后另存为XML文件即可。具体操作请参照以下步骤。1、在电脑上用wps软件打开目标word文件,进入主编辑界面。2、然后点
-
如何用公式求多个字符串的最小值详细阅读
用公式在excel某一列里查找某一个字符串符合某一要求对应的最小值并输出如果仅仅求最小值,那么直接min函数来列公式是最简单的,但是要和科目联动,那么可以使使用下面公式:=IFERR
-
cad属性增强块插公式详细阅读
CAD怎么添加增强属性块?CAD怎么添加增强属性块 CAD怎么创建增强属性块?属性块就是在图块上附加一些文字属性,这些文字不同于嵌入到图块内部的普通文字,无需分解图块,就可以非常方
