2018mastercam后处理怎么选择后处理打开MastercamX9,先选择机床类型,打开设置里面的机床定义管理,弹出的警告对话框点确定。要等上一会儿,这里电脑会卡一下,在新的对话框里面,最上
RC串联电路为什么每个频率都要记录U0的值,是否有更好的处理方法?
RC串并联电路的工作原理及作用?
一、工作原理: (1)RC 串联电路 电路的特点:由于有电容存在不能流过直流电流,电阻和电容都对电流存在阻碍作用,其总阻抗由电阻和容抗确定,总阻抗随频率变化而变化。RC 串联有一个转折频率: f0=1/2πR1C1 当输入信号频率大于 f0 时,整个 RC 串联电路总的阻抗基本不变了,其大小等于 R1。 (2)RC 并联电路 RC 并联电路既可通过直流又可通过交流信号。它和 RC 串联电路有着同样的转折频率:f0=1/2πR1C1。 当输入信号频率小于f0时,信号相对电路为直流,电路的总阻抗等于 R1;当输入信号频率大于f0 时 C1 的容抗相对很小,总阻抗为电阻阻值并上电容容抗。当频率高到在电路图中经常看到RC串联用,都有什么作用?RC的值怎么选?
第一、RC串联是选频网络,通过电容的"通交流,隔直流"的特性,达到对频率选择的目的. 第二、RC串联还有利用对充电,提高电容电压,起延时的目的。RC串联电路转折频率的问题
rc电路,由于存在电抗器件c,对不同频率的输入有不一样的输出曲线。当输入频率到达某值时,电抗器c的阻抗与电阻值 一样,即-3db(半功率)点,在阻抗曲线上面可以直观看出,这时候的频率称之为这rc电路的转折频率。rc阻抗一样,意味分压是一样的RLC串联电路的谐振频率与品质因素的物理意义是什么
RLC串联电路的谐振频率的意义:
在一个含L或C或既有L又有C的电路中,由于C及L上电压与电流不同相,这个电路两端的电压与电路中的电流一般来说是不同相的,但,有一个特殊的频率,当外加电压的频率等于这个频率时,这个电路中的电流与电压同相,这个频率就是这个RLC电路的谐振频率。
品质因数Q的意义:
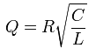
当出现串联谐振时,电感或电容上的电压与外加电压之比就是Q,就是Q=UL/U,Uc=UL=QU。在串联谐振出现时,容抗(或感抗)与电路中电阻R的比值就等于Q,Q=ωoL/R=(1/ωo*C)/R。
在串联电路中电流是相等的,这样,在一个周期里,在电容和电感上要进行无功功率的转换,而在电阻上要消耗有功功率,那么Q就是在一个周期里无功与有功的比值。 所以Q=W无/W有。

扩展资料:
理想串联RLC电路的Q因子为:

其中R、L及C分别是电路的电阻、电感和电容,若电阻值越大,Q因子越小。
并联RLC电路的Q因子恰为对应串联电路Q因子的倒数:

若将电阻、电感和电容并联形成一电路,并联电阻值越小,其阻尼的效果越大,因此Q因子越小。
若是电感和电容并联的电路,而主要损失是电感内,和电感串联的电阻R,其Q因子和串联RLC电路相同,此时降低寄生电阻R可以提升Q因子,也使带宽缩小到需要的范围内。
大部分的共振系统都可以用二阶的微分方程表示,Q因子中2π的系数,使Q因子可以表示成只和二阶微分方程系数有关的较简单型式。
在电机系统中,能量会储存在理想无损失的电感及电容中,损失的能量则是每个周期由电阻损失能量的总和。力学系统储存的能量是该时间动能及位能的和,损失的能量则是因为摩擦力或阻力所消耗的能量。
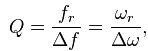
针对高Q因子的系统,也可以用下式计算的Q因子,在数学上也是准确的:

其中fr为共振频率,Δf为带宽,ωr=2πfr是以角频率表示的共振频率,Δω是以角频率表示的带宽在像电感等储能元件的规格中,会用到和频率有关的Q因子,其定义如下:

其中ω是计算储存能量和功率损失时的角频率。若电路中只有一个储能元件(电感或是电容),也可用上式来定义Q因子,此时Q因子会等于无功功率相对实功功率的比例。
参考资料:百度百科-品质因子
在RC串联电路中观察电容和电阻电压波形时,为什么要
你在大多数电路看到的电容都是用来退耦的。退耦电容用于高频消振,消除高频信号中的躁波。它们可以除去电源的电压波动,避免损坏脆弱的集成电路芯片。 退耦电容可以作为集成电路芯片的内置电源(就像电脑内部的不断续电源)。如果外置电源的电压突然下降,一个退耦电容可以提供补偿电压。它们通常被叫做旁路电容,可以在一定时间内充当电源。 退耦电容两端电压是5.5V或3.3V。用两个不同容量甚至是不同类型的电容器充当旁路电源并非罕见,因为一些电容器在滤除某个特定频率的躁波比较有优势。相关文章
- 详细阅读
-
用mastercam怎么画锥度接圆弧啊,能详细阅读
mastercam锥度怎么画mastercam锥度绘画可以用实际尺寸画出2D测面轮廓,然后挤出实体(创建主体)。更换视图画出两个孔的轮廓,然后挤出实体(实体切割)。导程这个栏位是设定二牙之间的
-
geforce 8600gt和410m哪个好详细阅读
NVIDIA GeForce G410M和8600GT哪个好?还有NVIDIA GeForce G410M和NVIDIA GeForce GT520M有多大差别?1.显卡后缀是M的都是笔记本电脑的显卡,移动版显卡是不能和台式机比较的.G4
-
iGame GeForce GTX 1650 Ultra 4G详细阅读
战舰世界4g内存能玩吗4g内存是够的,但还需要看其他的配置。 战舰世界的配置要求如下: 一,最低配置 1,CPU:英特尔Pentium同等级或以上。 2,内存:4GB及以上。 3,显卡:台式机推荐GT 750
-
String.fromCharCode(13)在alert里详细阅读
alert如何输出html标签弹出的警告框中这样来换行:alert("123"+String.fromCharCode(13)+"456");
放在网页中才会换行。这样输出 document.write((“123”+“”+"456");javascr -
geforce experience安全认证话面无详细阅读
求助geforce experience登录时候提示 页面无法加载,请检查您的网络连接问题原因Nvidia的登录需要用到一个名为Nvidia Framework SDK Service的服务,但是它是默认开机不启动的,
-
googleplay安装什么版本的retroarc详细阅读
retroarch怎么换界面驱动-菜单-选择XMB即可。RetroArch(复古拱门)是一款电玩模拟器,开放源码采用GNU通用公共许可证的共享软件。其采用类似SONY PS4游戏机的XMB界面、网络更
-
NVIDIA® GeForce®GTX770VRAM2GB详细阅读
NVIDIA GEFORCE 710M独显和UHD GRAPHICS 620集显哪个厉害,大概相差多少?UHD 620更强,估计20%左右 710M太垃圾,很少有人测试。Nvidia英伟达 Geforce 9500GT 显卡与intel(R)HD gra
-
Dreamwavercs6删除数据库记录为啥详细阅读
ASP删除记录时,总是删除数据表中的第一条记录,这是什么原因啊,请大家帮忙看下,谢谢!不能删除指定ID的原因: window.location.href="delete_grade.asp?id="此句在传递ID过程中,ID值
-
为什么英伟达Geforce experience打详细阅读
NVIDIA GeForce Experience打不开怎么办解决NVIDIA GeForce Experience打不开程序,需要重新安装显卡驱动程序。以驱动精灵为例,使用驱动精灵安装显卡驱动步骤如下所示:1、在电
