玩DNF显示内存不足 怎么办1、关闭无用程序
调整虚拟内存只是开源的手段,除了开源还要用到节流,可以打开任务管理器,然后选中那些无用的或者占用内存大的任务,然后将其关闭,这样就
自由空间损耗,当频率为10M,距离为10KM时,无线电波损耗是多少。
【无线网络概论】求自由空间传播条件下,距离发射天线100米远和10公里远的接收功率?
自由空间传输损耗: Ls(dB)=32.44+20lgd(km)+20lgf(MHz) 100m: Ls=32.44+20lg(0.1)+20lg900=32.44-20+59.08=71.52dB 10Km:Ls=32.44+20lg10+200lg900=111.52dB 发射功率50W=10lg50=16.99dBW=10lg50000=46.99dBm 所以,接收功率:P(100m)=46.99-71.52=-24.53dBm;P(10Km)=46.99-111.52=-64.53dBm自由空间衰减的计算
自由空间衰减的计算:
自由空间损耗是指电磁波在传输路径中的衰落,计算公式如下:
Lbf=32.5+20lgF+20lgD。
Lbf=自由空间损耗(dB)。
D=距离(km)。
F=频率(MHz)。
2400MHz:Lbf=100+20lgD。
5800MHz:Lbf=108+20lgD。
以上公式是在气温25度,1个大气压的理想情况的计算公式。
无线传输路径的分析是无线传输网络设计中的重要步骤。 传输路径的分析使网络设计人员可以轻松地根据无线链路的余量选择合适的天线类型(方向,极化,增益等)、安装天线的高度,选择合适的馈电线和长度等。

扩展资料:
自由空间有效辐射功率测量值的验证结果:
验证杂散有效辐射功率直接法测量结果的方法是:首先,在软件中补偿每个系统单元的损耗参数,并安排场地;然后将EUT替换为发射天线,并且将发射天线连接到外部信号源以设置信号源发射功率P;然后使用软件控制接收天线直接测量发射天线产生的有效辐射功率P2。
根据发射天线的已知增益和信号源与发射天线之间的电缆损耗LC,计算出发射天线实际产生的有效辐射功率P1 = P- LC + Gt。最后比较P1和P2的值之间的偏差。
直接法的测量结果与实际发射功率之间的最大差为1.89dB,结果偏差与CISPR 16-4-2:2011定义的高频辐射骚扰测量不确定度Ucispr=5.5dB相比要小很多,测量结果非常接近实际发射功率值。
参考资料来源:
自由空间损耗怎么计算.
自由空间损耗公式:空间损耗=20lg(F)+20lg(D)+32.4;
F为频率,单位:MHz;D为距离,单位:Km;所以在距离一定的情况下:频率越高,损耗越大。
自由空间损耗为了简化链路计算而定义的一个参数;
根据链路计算公式:Pr=Pt+Gt-L+Gr,式中Pt是发射功率,Gt是发射天线增益,L是自由空间损耗,Gr是接收天线增益。根据前面的自由空间损耗计算公式,频率越高,自由空间损耗越大。
由于试验系统较为复杂,要实现自动化测试,一般配备专用的测试软件进行系统集成。采用直接法进行辐射杂散测试时,需要在测试前对试验系统的各个测试单元单独进行校准;
自由空间损耗LA、滤波器+前置放大器的损耗LT、电缆损耗LC等,或对这些测量设施整体进行校准。将校准的各个参数补偿到测试软件当中,从而实现自动一体化测量。

扩展资料
有效辐射功率测量值的验证结果;
杂散有效辐射功率直接法测量结果的验证方法是:首先,将各个系统单元的损耗参数在软件中补偿并进行场地布置;接着EUT由发射天线代替,将发射天线与外部信号源连接,设置信号源发射功率P;然后使用软件控制接收天线直接测量发射天线产生的有效辐射功率P2;
再通过已知的发射天线增益以及信号源与发射天线之间的线缆损耗LC,计算发射天线实际产生的有效辐射功率P1=P- LC+Gt;
最后比较P1与P2值的偏差,直接法测量结果与实际发射功率最大相差1.89dB,结果偏差与CISPR 16-4-2:2011定义的高频辐射骚扰测量不确定度Ucispr=5.5dB相比要小很多,测量结果非常接近实际发射功率值。
参考资料:百度百科-自由空间损耗
那个高手知道无线信号强度与距离的公式啊,求助!
这是中科院一篇论文中提到的,比较容易理解:
无线信号的发射功率和接收功率之间的关系可以用式(1)表示,PR是无线信号的接收功率,PT
是无线信号的发射功率,r是收发单元之间的距离,n传播因子,数值大小取决于无线信号传播的
环境.PR=PT/rn(1)
在公式(1)两边取对数可得到式(2),10*nlgr=10lgPT/PR(2)
节点的发射功率是已知的,将发送功率代入式(2)中可得式(3),10lgPR=A-10*nlgr(3)
式(3)的左半部分10lgPR是接收信号功率转换为dBm的表达式,可以直接写成式(4),在式(4)中A可以看作信号传输1m远时接收信号的功率.PR(dBm)=A-10*nlgr(4)
由式(4)中可以得到常数A和n的数值决定了接收信号强度和信号传输距离的关系
这是清华一篇论文中提到的:
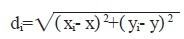
在自由空间中,电磁波的传播的模型为:Pri(dBm)=P0(dBm)-10nplog(di/d0)+xσ (1)
定义Pri为beaconi的接收信号强度,单位为mW,Pri(dBm)单位为dBm。
Pri(dBm)=10log(Pri)(2)
定义目标点坐标为θ=(x,y),信标点坐标为ri=(x,y),目标点与beaconi的欧氏距离为di
(3)
xσ为背景噪声,通常假定为零均值高斯白噪声 xσ~N(0,σ2db)(4)
np为电磁信号衰减系数,典型值为2~4。
计算自由空间损耗时,如果工作频率增加一倍,其损耗值变化多少
6dB。
自由空间内电磁波损耗公式:l=32.4+20lgD+20lgFD:距离 F:频率
从公式上可以看出距离越远,频率越大,损耗就越高。
自由空间损耗是指电磁波在传输路径中的落,计算公式如下:
Lbf=32.5+20lgF+20lgD。
Lbf=自由空间损耗(dB)。
D=距离(km)。
F=频率(MHz)。
2400MHz:Lbf=100+20lgD。
5800MHz:Lbf=108+20lgD。
以上公式是在气温25度,1个大气压的理想情况的计算公式。

扩展资料:
自由空间损耗的补偿值可以通过场地衰减测量而得到,假设发射天线与接收天线距离3m,收发天线增益Gt、Gr已知,使用接收机或频谱仪,射频信号源搭配测试软件实现对自由空间损耗补偿值的校准测量:
将发射天线端的电缆与接收天线端的电缆取下后直连,软件控制信号源输出,按照一定的频率步进对整个连接通路进行衰减测量,得到整个通道的衰减值A。
将电缆分别接到发射天线端口以及接收天线端口上,并设置天线极化方向为垂直方向,信号源发射同等幅值大小的信号,按照相同的频率步进对整个场地的衰减进行测量,得到衰减值B。
参考资料来源:百度百科-自由空间损耗
相关文章
-
为什么我的笔记本电脑只运行一个dn详细阅读
